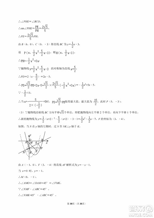
今天小编为同学们整理了2024年重庆市初中学业水平考试数学B卷试题答案,本试卷是重庆市的数学中考真题,准初三学子可以通过训练来熟悉中考模式,考完的同学也可以来估分,这个系列的题目还有收集整理其他学科,站内直接搜重庆中考就可以搜到了,感兴趣的同学们可以来看看。

答案如下,仅供参考:



































2024天津中考道德与法治真题答案
2024-06-27 10:50:47
今天小编为同学们整理了2024年天津市初中学业水平考试道德与法治试题答案,本试卷是天津市的道德与法治中考真题,帮助同学检测知识点掌握程度,考完的同学也可以来估分,这个系列的
2024天津中考语文真题答案
2024-06-27 10:44:31
今天小编为同学们整理了2024年天津市初中学业水平考试语文试题答案,本试卷将所学的知识点糅合到实践练习中去,全面提升语文成绩,考完的同学也可以来估分,这个系列的题目还有收集
2024天津中考英语真题答案
2024-06-27 10:23:19
今天小编为同学们整理了2024年天津市初中学业水平考试英语试题答案,本试卷针对性提升练习,帮助同学们消化吸收课堂上的授课内容,提升成绩,考完的同学也可以来估分,这个系列的题目
2024天津中考物理真题答案
2024-06-27 10:03:33
今天小编为同学们整理了2024年天津市初中学业水平考试物理试题答案,本试卷内容全面丰富,帮助同学们检测知识点掌握程度,提升成绩,考完的同学也可以来估分,这个系列的题目还有收集