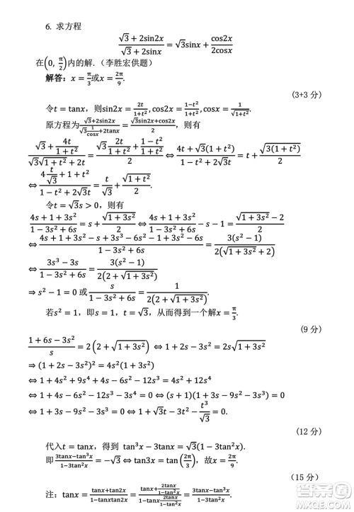
小编这次收集整理的是2024年第二十一届中国东南地区数学奥林匹克高一第一天第二天的试题答案,这次的是高一年级的,想要练习的可以来做做看哦,出题难度还是很不错的,需要运用巧思,适用于假期练习!

答案如下,仅供参考!













2024年新高一数学暑假衔接班综合测试试题答案
2024-07-31 16:49:41
小编这次收集整理的是2024年新高一数学暑假衔接班综合测试的试题答案,这个是新高考结构的,考试范围是集合与常用逻辑用语、一元二次函数、方程和不等式、函数的概念与性质,感兴
安徽皖北协作区2024年高一下学期期末联考数学试卷答案
2024-07-26 16:13:29
小编这次收集整理的是安徽皖北协作区2024年高一下学期期末联考的数学试卷答案,本试卷命题范围:三角函数及恒等变形,平面向量、复数、立体几何,想要练习的可以来做做看哦!安徽皖北
辽宁省名校联盟2024年高一下学期7月期末考试数学试题答案
2024-07-22 10:55:19
小编这次收集整理的是辽宁省名校联盟2024年高一下学期7月期末考试的数学试题答案,考试时间120分钟,满分150分,这个是辽宁省的名校联盟考试,想要练习的可以来做做看哦,这个系列的
河北名校联盟2024年高一下学期7月期末考试数学试题答案
2024-07-21 09:40:21
小编这次收集整理的是河北名校联盟2024年高一下学期7月期末考试的数学试题答案,本次试卷主要考试内容为人教A版必修第二册,选择性必修第一册第一章1.1-1.3,想要练习的可以来看