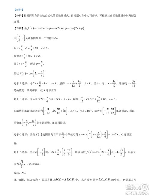
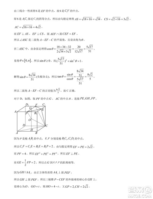
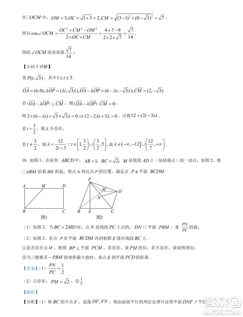
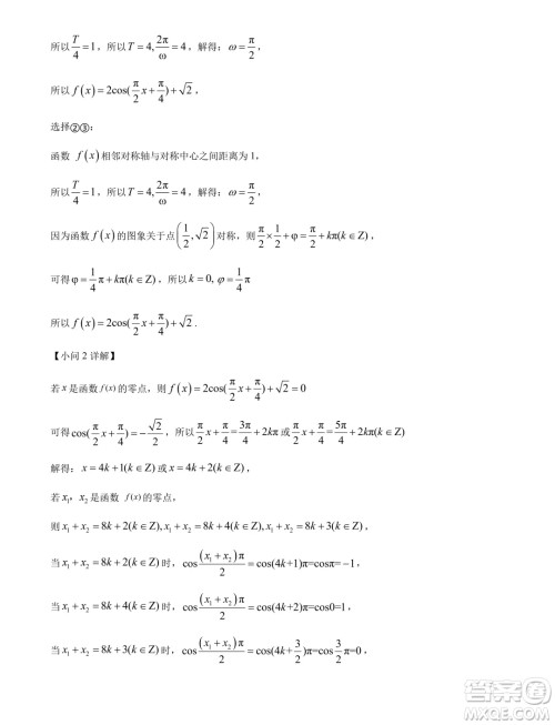
小编这次收集整理的是辽宁省名校联盟2024年高一下学期7月期末考试的数学试题答案,考试时间120分钟,满分150分,这个是辽宁省的名校联盟考试,想要练习的可以来做做看哦,这个系列的还是很不错的!

答案如下,仅供参考!


























河北名校联盟2024年高一下学期7月期末考试数学试题答案
2024-07-21 09:40:21
小编这次收集整理的是河北名校联盟2024年高一下学期7月期末考试的数学试题答案,本次试卷主要考试内容为人教A版必修第二册,选择性必修第一册第一章1.1-1.3,想要练习的可以来看
2024年辽宁沈阳五校联考高一下学期期末数学试题答案
2024-07-18 13:37:09
小编这次收集整理的是2024年辽宁沈阳五校联考高一下学期期末的数学试题答案,命题人和校对人都是沈阳的高一名校数学课题组的,想要练习的可以来做做看哦,高二年级的也有收集整理
2024年辽宁沈阳市五校联考高二下学期期末数学试题答案
2024-07-18 11:00:21
小编这次收集整理的是2024年辽宁沈阳市五校联考高二下学期期末的数学试题答案,这个系列的试卷适用于辽宁地区,这个是沈阳的五校联考,出题质量还是很不错的,感兴趣的可以来做做看
江苏省部分学校2024年高一上学期暑期成果验收卷数学试题答案
2024-07-17 17:15:52
小编这次收集整理的是江苏省部分学校2024年高一上学期暑期成果验收卷的数学试题答案,满分150分,考试用时120分钟,这套是为了新高一入学前的一个考试检测,想要练习的可以来做做看