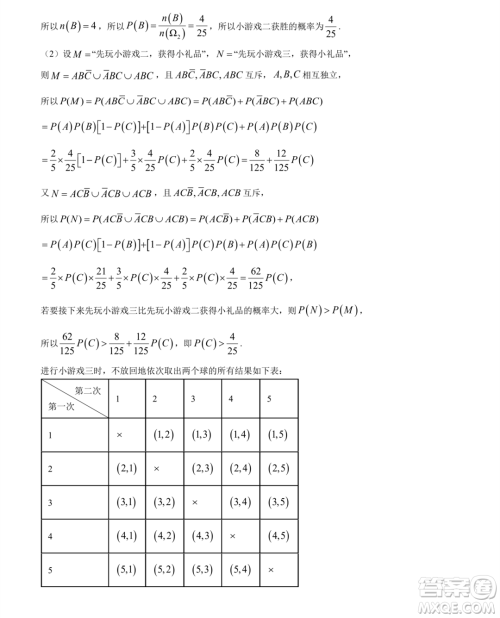
小编这次整理的是河南百师联考2023-2024学年高一上学期1月期末的数学试题答案,这个是高一年级的联考试卷,也是对整体一年级的学习进度的一个考核,其他地区的学子也可以来模拟练习一下,看看自己做的对不对吧!

答案如下,仅供参考!















东莞东华高级中学东华松山湖高级中学2023-2024学年高一12月月考数学试题答案
2024-01-02 14:52:19
小编这次收集整理的是东莞东华高级中学东华松山湖高级中学2023-2024学年高一12月月考的数学试题答案,这个是东莞地区的两个高中的联考,这次的是高一年级的12月考试,综合来说考
广东深圳大学附属实验中学2023-2024学年高一上学期阶段考试数学试卷答案
2024-01-01 11:20:25
小编这次收集整理的是广东深圳大学附属实验中学2023-2024学年高一上学期阶段考试的数学试卷答案,这个适用于广东地区,想要练习的可以来看看,检查一下自己做的对不对,是深圳大学
浙江苍南中学2023-2024学年高一上学期数学家摇篮竞赛试题答案
2024-01-01 10:46:47
小编这次收集整理的是浙江省苍南中学2023-2024学年高一上学期的数学家摇篮竞赛试题答案,这次的竞赛试题出题还是非常不错的,想要练习的可以来做做看,这个适用于江浙地区,多练习
浙江新高考2023-2024学年高一上学期数学期末模拟卷答案
2023-12-29 15:19:11
小编这次收集整理的是浙江新高考2023-2024学年高一上学期的数学期末模拟卷答案,这个系列的适用于浙江地区的学子,感兴趣的可以来看看哦,多做做练习研究一下当前的学习进度和学