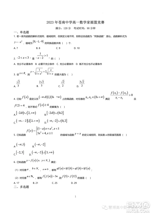
小编这次收集整理的是浙江省苍南中学2023-2024学年高一上学期的数学家摇篮竞赛试题答案,这次的竞赛试题出题还是非常不错的,想要练习的可以来做做看,这个适用于江浙地区,多练习对于提升自己的数学学习能力非常有帮助,其他学科和其他年级的有需要可以站内选择对应年级学科进行查看!

答案如下,仅供参考!






广东深圳大学附属实验中学2023-2024学年高一上学期阶段考试数学试卷答案
2024-01-01 11:50:25
小编这次收集整理的是广东深圳大学附属实验中学2023-2024学年高一上学期阶段考试的数学试卷答案,这个适用于广东地区,想要练习的可以来看看,检查一下自己做的对不对,是深圳大学
浙江新高考2023-2024学年高一上学期数学期末模拟卷答案
2023-12-29 15:19:11
小编这次收集整理的是浙江新高考2023-2024学年高一上学期的数学期末模拟卷答案,这个系列的适用于浙江地区的学子,感兴趣的可以来看看哦,多做做练习研究一下当前的学习进度和学
湖北重点高中智学联盟2023-2024学年高一上学期12月联考数学试题答案
2023-12-28 14:44:19
联考是一种考试形式,通常由多个学校或组织联合进行,旨在评估学生的学习成果。这次小编整合的是湖北省的重点高中智学联盟的联考,命题人仙桃中学,这个是高一年级12月的联考,符合高
河南顶级名校2023-2024学年高一上学期12月月考数学试题答案
2023-12-28 14:25:16
小编这次收集整理的是河南顶级名校2023-2024学年高一上学期12月月考的数学试题答案,这个系列的还是非常不错的,感兴趣的可以来做做看,还有九师联盟等一系列的联考,站内直接搜关