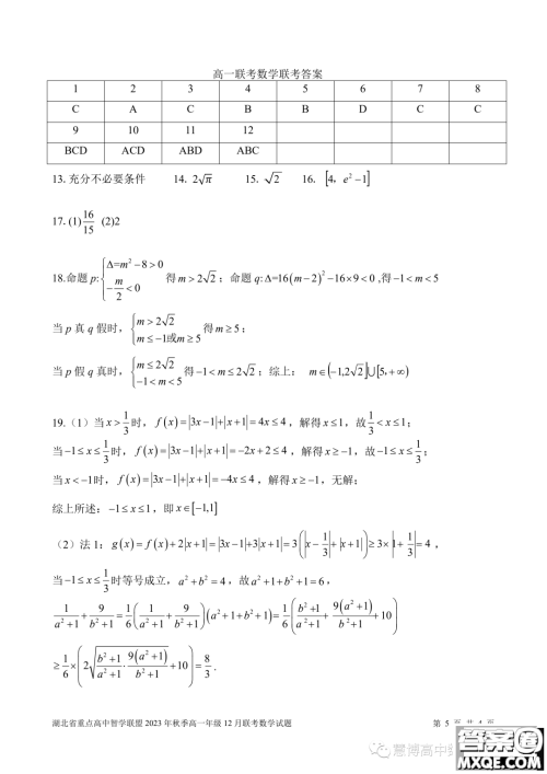
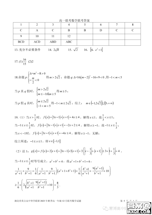
联考是一种考试形式,通常由多个学校或组织联合进行,旨在评估学生的学习成果。这次小编整合的是湖北省的重点高中智学联盟的联考,命题人仙桃中学,这个是高一年级12月的联考,符合高一的大致考纲,想要练习的可以来看看!

答案如下,仅供参考!










河南顶级名校2023-2024学年高一上学期12月月考数学试题答案
2023-12-28 14:25:16
小编这次收集整理的是河南顶级名校2023-2024学年高一上学期12月月考的数学试题答案,这个系列的还是非常不错的,感兴趣的可以来做做看,还有九师联盟等一系列的联考,站内直接搜关
河南九师联盟2023-2024学年高一12月联考数学试题答案
2023-12-28 11:26:22
小编这次收集整理的是河南九师联盟2023-2024学年高一12月联考的数学试题答案,这个系列的还有其他学科的,站内直接搜九师联盟就可以搜到了,感兴趣的可以来看看哦,检查一下自己做
湖北云学名校联盟2023-2024学年高一上学期12月联考数学试题答案
2023-12-24 14:19:06
小编这次收集整理的是2023年湖北省云学名校联盟高一年级的12月联考数学试卷答案,这个系列的后面还会整理其他学科的和其他年级的,站内直接搜云学名校联盟就可以搜到了,高一高二
江苏十所名校2023-2024学年高一上学期12月阶段联测数学试题答案
2023-12-20 17:57:08
小编这次收集整理的是江苏十所名校2023-2024学年高一上学期12月阶段联测的数学试题答案,试卷满分150分,考试用时120分钟,想要模拟练习的可以来看看,检查一下自己做的对不对,有助