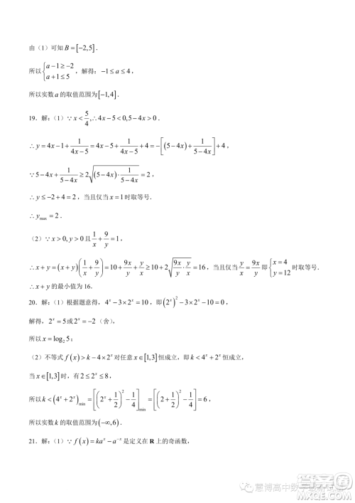
小编这次收集整理的是江苏十所名校2023-2024学年高一上学期12月阶段联测的数学试题答案,试卷满分150分,考试用时120分钟,想要模拟练习的可以来看看,检查一下自己做的对不对,有助于练习哦!

答案如下,仅供参考!








浙南名校联盟2023年高一上学期12月联考数学试题答案
2023-12-17 15:44:45
小编这次收集整理的是浙南名校联盟2023年高一上学期12月联考的数学试题答案,本次考试主要是考核的高一上学期的学习内容,有需要的可以来做做看,其他地区的也有整合,站内选择高一
辽宁名校联盟2023-2024年高一上12月联考生物试卷答案
2023-12-15 17:28:34
小编这次收集整理的是辽宁名校联盟2023-2024年高一上12月联考的生物试卷答案,其他学科的比如高一物理、高一化学也有整合,站内直接搜名校联盟就可以搜到了哦,多做练习还是有助
辽宁名校联盟2023-2024年高一上12月联考化学试卷答案
2023-12-15 16:47:20
小编这次收集整理的是辽宁名校联盟2023-2024年高一上12月联考的化学试卷答案,这次的化学试卷是抚顺二中命题的,其他学科的也有整理,选择名校联盟就可以了,注意区分年级和学科哦!
辽宁名校联盟2023-2024年高一上12月物理试卷答案
2023-12-15 16:23:18
小编这次收集整理的是辽宁名校联盟2023-2024年高一上12月联考的物理试卷答案,这个是阜新市实验中学命题的,是高一年级的联考试卷,注意区分哦,其他年级的也有,站内直接搜名校联盟