小编这次收集整理的是武汉三中命题的武汉部分重点中学2022-2023学年度上学期期末高一联考的高一数学试题答案,想要进行高一模拟训练的可以来看看,这次的命题难度还是很不错的,范围也很时钟,贴合高一学习范围,这个是1月9日考试的试卷哦!

答案如下,仅供参考!








绍兴市2022-2023学年第一学期高中期末调测高一数学试题答案
2023-01-05 11:47:38
小编这次收集整理的是绍兴市2022-2023学年第一学期高中期末调测的高一数学试题答案,这个是期末的考试,高中马上也要放寒假了,其他地区的学子可以在假期中进行模拟训练,多复习多
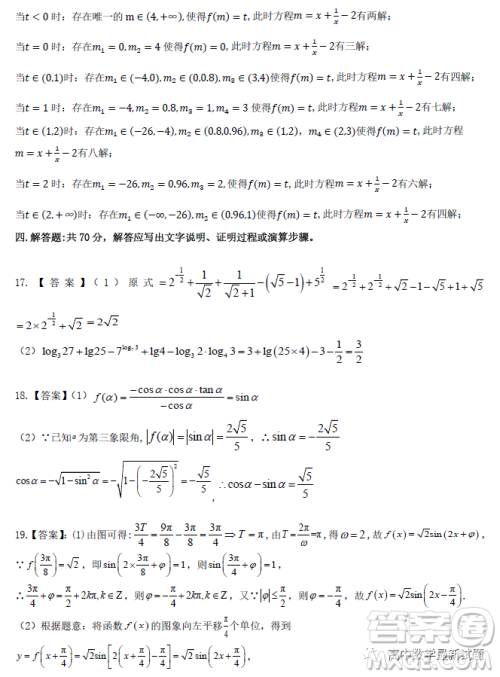
荆州八县市2022-2023学年第一学期期末联考高一数学试题答案
2023-01-05 10:43:43
小编这次收集整理的是荆州八县市2022-2023学年第一学期期末联考的高一数学试题答案,荆州八县市的联考是高一高二高三都有期末联考,有整理高二的试卷,这次的是高一的,有需要的可
四川成都蓉城高中联盟2022-2023学年高一上期期末考试数学试题答案
2023-01-05 09:53:58
小编这次收集整理的是四川成都蓉城高中联盟2022-2023学年高一上期期末考试的数学试题答案,这个是高一的数学考试试卷,想要进行模拟训练的可以来试试,其他年级的试卷模拟也有哦,
2023南洋模范中学高一12月考数学试卷及答案
2022-12-21 15:16:12
小编这次收集整理的是南洋模范中学高一12月考的数学试卷及答案,这次的月考主要也是针对十二月的学习进度和学习流程来进行的摸底考试,了解一下学生在十二月学习的怎么样,从而进