小编这次收集整理的是南洋模范中学高一12月考的数学试卷及答案,这次的月考主要也是针对十二月的学习进度和学习流程来进行的摸底考试,了解一下学生在十二月学习的怎么样,从而进行补充和加强复习,高一的知识点学习还是很重要的!

答案如下,仅供参考!









2019年10月青浦高中数学高一月考数学试卷答案
2019-10-30 09:14:48
小编这次收集整理的是2019年10月青浦高中数学高一月考数学试卷的答案,做完了之后可以来答案圈看看哦,当然其他年级的也有陆续收集整理的。2019年10月青浦高中数学高一月考数学
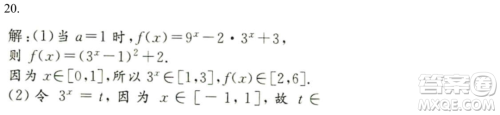
2019年10月华二附中高一月考数学试卷答案
2019-10-30 08:56:07
小编这次收集整理的是2019年10月华二附中高一月考数学试卷的答案,在做完之后可以来答案圈了解一下,看看自己做的对不对!2019年10月华二附中高一月考数学试卷答案答案如下,仅供参
湖南省五市十校教研教改共同体2018年12月高一联考语文试题及答案
2019-01-15 08:26:07
湖南省五市十校教研教改共同体2018年12月高一联考语文试题及答案,小编收集在答案圈啦,快及时核对吧湖南省五市十校教研教改共同体2018年12月高一联考语文试题及答案一、现代文
山东省招远一中2018-2019学年高一上学期12月月考语文试卷及答案
2019-01-07 18:22:15
小编收集了山东省招远一中2018-2019学年高一上学期12月月考语文试卷及答案,感兴趣的学生请及时核对山东省招远一中2018-2019学年高一上学期12月月考语文试卷及答案一、现代文