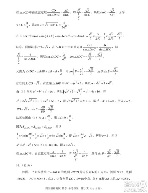
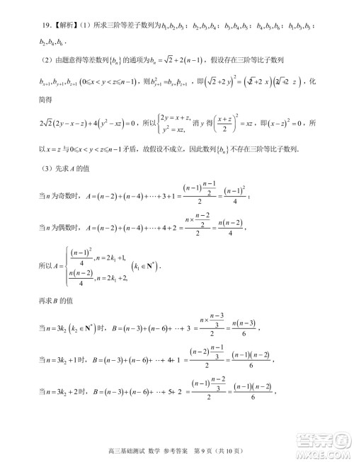
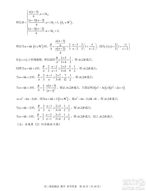
小编这次收集整理的是2025届浙江嘉兴高三9月基础测试的数学试题答案,本试卷共6页,满分150分,考试时间120分钟,想要练习的可以来做做看,检查一下自己做的对不对吧!

答案如下,仅供参考!
















重庆市2025届高三上学期9月大联考数学试题答案
2024-09-18 14:12:17
小编这次收集整理的是重庆市2025届高三上学期9月大联考的数学试题答案,这个是高三的九月大联考试卷,适用于重庆的地区,想要练习的可以来做做看哦,检查一下自己做的对不对吧!重庆
2025届重庆康德教育9月调研测试数学试卷答案
2024-09-18 10:36:29
小编这次收集整理的是2025届重庆康德教育9月调研测试的数学试卷答案,想要练习的可以来做做看,检查一下自己做的对不对吧,这次的适用于川渝地区的学子练习哦,感兴趣的快来看看吧!2
2025届四川新高考联盟校级高三九月适应考数学试题答案
2024-09-18 09:52:21
小编这次收集整理的是2025届四川新高考联盟校级高三九月适应考的数学试题答案,考试时间120分钟,满分150分,这个是高三的九月联考,适用于四川地区学子练习,想要做题练习的可以来看
2025届云南昆明高三上学期摸底测试数学试题答案
2024-09-14 09:08:17
小编这次收集整理的是2025届云南昆明高三上学期摸底测试的数学试题答案,这个适用于云南地区,是开学的考试练习,对于学子在暑假期间的学习状态的一个摸底调查,想要练习的可以来做