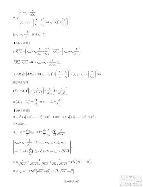
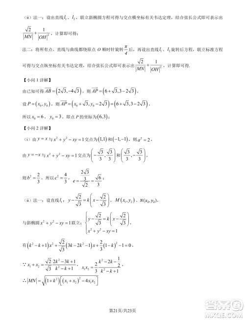
小编这次收集整理的是2025届四川新高考联盟校级高三九月适应考的数学试题答案,考试时间120分钟,满分150分,这个是高三的九月联考,适用于四川地区学子练习,想要做题练习的可以来看看哦!

答案如下,仅供参考!























2025届云南昆明高三上学期摸底测试数学试题答案
2024-09-14 09:08:17
小编这次收集整理的是2025届云南昆明高三上学期摸底测试的数学试题答案,这个适用于云南地区,是开学的考试练习,对于学子在暑假期间的学习状态的一个摸底调查,想要练习的可以来做
2025届重庆金太阳联考高三9月月考数学试题答案
2024-09-14 08:54:28
小编这次收集整理的是重庆2025金太阳联考2507C高三9月月考数学入学考试的试卷习题和答案,本次考试主要内容为高考全部内容,想要练习的可以来做做看哦,检查一下自己做的对不对吧
山东青岛2025届高三上学期期初调研检测数学试题答案
2024-09-13 10:23:08
小编这次收集整理的是山东青岛2025届高三上学期期初调研检测的数学试题答案,这个是九月份的考试,主要考试范围也是之前学习的高一到高二的内容,符合高考方向,想要练习的可以来看
江苏南通市海安市2025届高三上学期开学数学试题答案
2024-09-13 09:04:40
小编这次收集整理的是江苏南通市海安市2025届高三上学期开学的数学试题答案,想要练习的可以来做做看哦,这个是高三上学期的入学考试,适用于江苏地区,快来做做看吧!江苏南通市海安