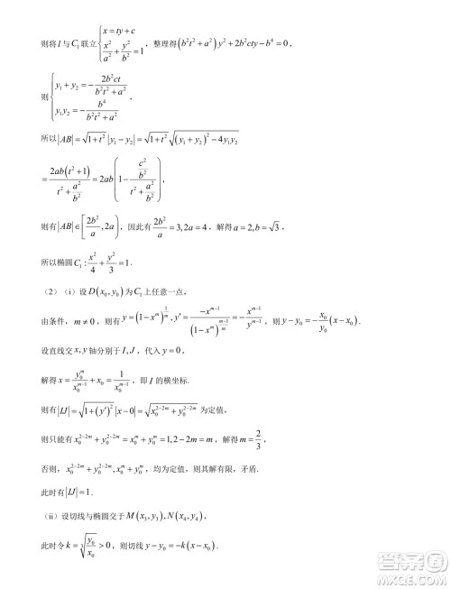
小编这次收集整理的是浙江名校协作体2025届高三上学期开学适应性考试的数学试题答案,本卷满分150分,考试时间120分钟,本次考试还是很不错的,适用于浙江省的学子来练习,这个系列的试卷主要面向的是高三复习的学子,查缺补漏,对下一轮的复习做一个预习!

答案如下,仅供参考!









浙江杭州地区2025届高三上学期开学考模拟数学试题答案
2024-08-09 11:35:15
小编这次收集整理的是浙江杭州地区2025届高三上学期开学考的模拟数学试题答案,这个适用于浙江地区,想要练习的可以来做做看,现在大部分地区的高三已经提前开学,备战高考了,要准备
江苏南通部分学校2025届高三上学期8月联考数学试卷答案
2024-08-09 08:45:16
小编这次收集整理的是江苏南通部分学校2025届高三上学期8月联考的数学试卷答案,本试卷共4页,全卷满分150分,这个是8月2日的考试,想要练习一下的可以来做做看哦,高三入学考试就要
山西大学附属中学校2025届高三上学期开学考试数学试题答案
2024-08-08 15:09:44
小编这次收集整理的是山西大学附属中学校2025届高三上学期开学考试的数学试题答案,考查时间120分钟,满分150分,这个也是高三的开学考试,想要练习的可以来做做看,符合山西地区的学
湖南长沙雅礼中学2025届高三上学期入学考试数学试题答案
2024-08-08 11:49:03
小编这次收集整理的是湖南长沙雅礼中学2025届高三上学期入学考试的数学试题答案,时间120分钟,分值150分,想要练习的可以来做做看哦,检查一下自己做的对不对吧!这个适用于湖南地区