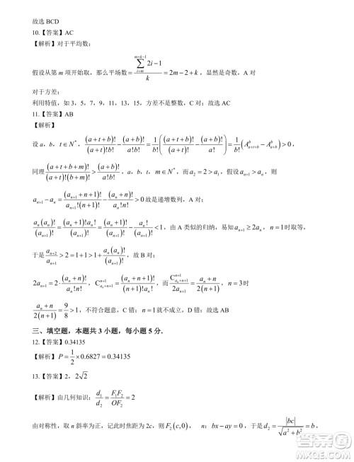
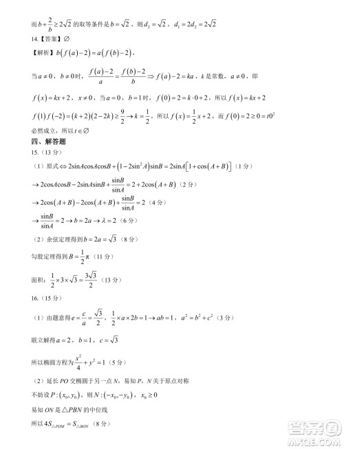
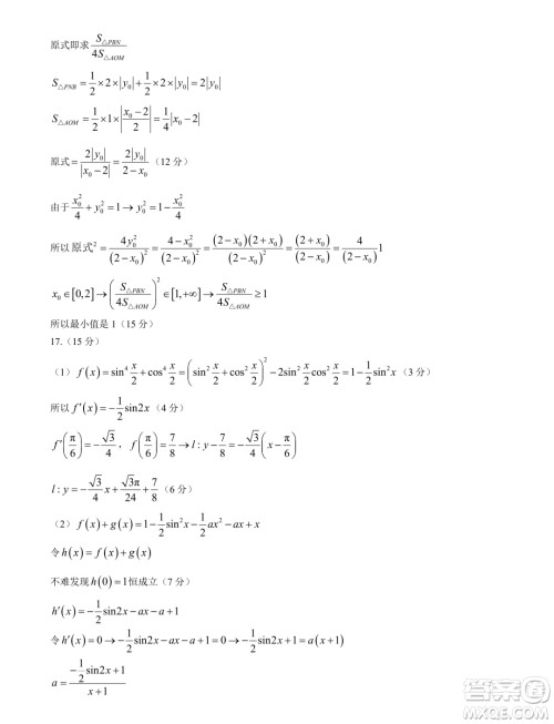
小编这次收集整理的主要是广西飞天校际2025届的高三上学期的数学试卷考试,这次的考试也是联考性质的,出题难度的话会比学校自己出题难度要大一些,适用于广西地区学子训练,想要联系一下的可以来做做看哦!

答案如下,仅供参考!













广东省部分高中2025届新高三新起点联合测评数学试卷答案
2024-08-05 11:21:29
小编这次收集整理的是广东省部分高中2025届新高三新起点联合测评的数学试卷答案,本次试卷满分150分,这次的也适用于广东地区学子练习,还有多校联考的数学试卷,多练习才能了解自
广东省八校2025届高三上学期8月联合检测数学试题答案
2024-08-05 09:02:14
小编这次收集整理的是广东省八校2025届高三上学期8月联合检测的数学试题答案,想要练习的可以来做做看哦,这个是高三的数学联考测试,适用于广东周边地区,想要练习的准高三学子都
重庆市南开中学校2025届高三7月月考数学试题答案
2024-08-02 11:15:33
小编这次收集整理的是重庆市南开中学校2025届高三7月月考的数学试题答案,这个适用于重庆地区,为准高三学子打造,想要练习得可以来做一下,根据解析评估一下自己的分数,看看自己可
广东省三校2025届高三上学期8月摸底考试数学试题答案
2024-08-02 11:09:23
小编这次收集整理的是广东省三校2025届高三上学期8月摸底考试的数学试题答案,建文外国语学校、广东碧桂园学校、广州亚加达外国语高级中学三校联考,想要练习的可以来做做看哦!