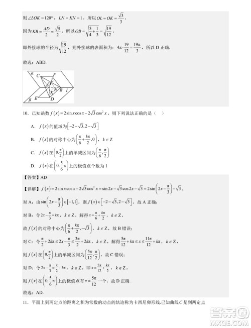
小编这次收集整理的是广东省部分高中2025届新高三新起点联合测评的数学试卷答案,本次试卷满分150分,这次的也适用于广东地区学子练习,还有多校联考的数学试卷,多练习才能了解自己大概的学习情况哦!

答案如下,仅供参考!
















浙江省部分学校2025届高三上学期返校联考数学试卷答案
2024-08-20 16:25:23
小编这次收集整理的是浙江省部分学校2025届高三上学期返校联考的数学试卷答案,想要练习一下的可以来做做看,这个系列的试卷还是很不错的,很多地区都在使用,也适用于浙江省的学子
湖北襄阳五中2025届高三8月月考数学试卷答案
2024-08-20 15:53:35
小编这次收集整理的是湖北襄阳五中2025届高三8月月考的数学试卷答案,这次的考试适用于湖北地区学子练习,这个是八月份的考试,想要来做做看的可以试试哦,检查一下自己做的对不对
河北省部分学校2025届新高三暑期摸底联合质检数学试题答案
2024-08-20 11:20:58
小编这次收集整理的是河北省部分学校2025届新高三暑期摸底联合质检的数学试题答案,想要练习的可以来做做看,数学试卷还是整合了不少的,希望可以帮助大家复习巩固知识点!河北省部
湖北2025届问津教育联合体高三上学期8月联考数学试题答案
2024-08-20 09:11:38
小编这次收集整理的是湖北2025届问津教育联合体高三上学期8月联考的数学试题答案,本次考试用时120分钟,试卷满分150分,想要练习的可以来做做看哦,检查一下自己做的对不对吧!湖北2