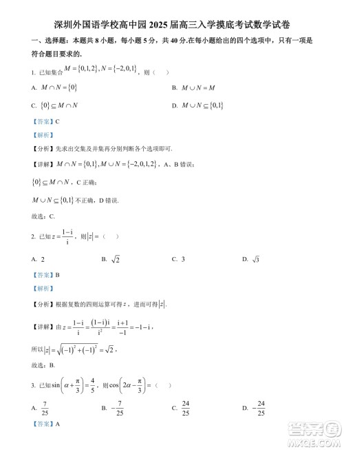
小编这次收集整理的是广东省深圳外国语学校高中园2025届高三入学摸底考试的数学试卷答案,这次的是开学前的考试,也是对学子之前的复习进度的一个摸底,想要练习一下的可以来做做看哦!

答案如下,仅供参考!





















江苏省部分高中2025届高三上学期新起点联合测评数学试卷答案
2024-07-31 11:21:28
小编这次收集整理的是江苏省部分高中2025届高三上学期新起点联合测评的数学试卷答案,本次的考试难度还是有的,这个试题解析版,想要练习的可以来做做看哦,检查一下自己当前学习进
福建泉州2025届高中毕业班适应性练习卷数学试题答案
2024-07-31 09:12:54
小编这次收集整理的是福建泉州2025届高中毕业班适应性练习卷的数学试题答案,本试卷属于试题分析,在做完了之后可以来检查一下自己做的对不对,这个系列的试卷类型还蛮多的,主要是
贵州省2025届普通高中毕业生竞赛调研测试数学试题答案
2024-07-30 17:21:10
小编这次收集整理的是贵州省2025届普通高中毕业生竞赛调研测试的数学试题答案,这个是贵州省的数学竞赛考试,难度相对来说会大一些,想要练习的可以来做做看,根据解析来查看自己当
225届浙江L16联盟7月新高三适应性测试数学试题答案
2024-07-30 17:05:47
小编这次收集整理的是2025届浙江L16联盟7月新高三适应性测试的数学试题答案,本试卷满分150分,考试时间120分钟,这个是七月份的考试,想要练习的可以来做做看哦,检查一下自己做的对