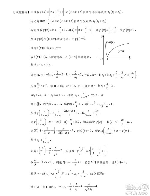
小编这次收集整理的是福建泉州2025届高中毕业班适应性练习卷的数学试题答案,本试卷属于试题分析,在做完了之后可以来检查一下自己做的对不对,这个系列的试卷类型还蛮多的,主要是为准高三学子打造学期前的一个铺垫复习,想要练练的可以来看看哦!

答案如下,仅供参考!





























贵州省2025届普通高中毕业生竞赛调研测试数学试题答案
2024-07-30 17:21:10
小编这次收集整理的是贵州省2025届普通高中毕业生竞赛调研测试的数学试题答案,这个是贵州省的数学竞赛考试,难度相对来说会大一些,想要练习的可以来做做看,根据解析来查看自己当
225届浙江L16联盟7月新高三适应性测试数学试题答案
2024-07-30 17:05:47
小编这次收集整理的是2025届浙江L16联盟7月新高三适应性测试的数学试题答案,本试卷满分150分,考试时间120分钟,这个是七月份的考试,想要练习的可以来做做看哦,检查一下自己做的对
2025届广东高三久洵杯七月调研测试数学试题答案
2024-07-30 15:36:02
小编这次收集整理的是2025届广东高三久洵杯七月调研测试的数学试题答案,本次考试试卷也适用于广东地区学子练习,想要做一下的可以来看看哦!检查一下自己做的对不对吧。2025届广
浙江省2024年第一届启航杯联考数学试题答案
2024-07-30 15:28:51
小编这次收集整理的是浙江省2024年第一届启航杯联考的数学试题答案,这个是2024年7月29日的数学联赛考试,想要练习的可以来做做看哦,这次的试卷还是非常不错的,试卷难度也有。浙