小编这次收集整理的是2025届广东高三久洵杯七月调研测试的数学试题答案,本次考试试卷也适用于广东地区学子练习,想要做一下的可以来看看哦!检查一下自己做的对不对吧。

答案如下,仅供参考!













浙江省2024年第一届启航杯联考数学试题答案
2024-07-30 15:28:51
小编这次收集整理的是浙江省2024年第一届启航杯联考的数学试题答案,这个是2024年7月29日的数学联赛考试,想要练习的可以来做做看哦,这次的试卷还是非常不错的,试卷难度也有。浙
2025届湖南长沙新高三8月摸底考试数学模拟试题答案
2024-07-30 10:53:37
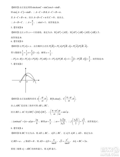
小编这次收集整理的是2025届湖南长沙新高三8月摸底考试的数学模拟试题答案,这个系列的试卷也是准高三学子的摸底考试,对应新的一轮的复习要开始了,还有哪些知识点没有掌握的呢?
江苏南京第五高级中学2025届高三7月零模模拟考试数学试卷答案
2024-07-30 09:48:34
小编这次收集整理的是江苏南京第五高级中学2025届高三7月零模模拟考试的数学试卷答案,这个是准高三的模拟考试,也是为了摸底一下当前学生的学习情况,备战第一轮的复习进度,想要
江苏射阳中学205届高三上学期7月月考数学试题答案
2024-07-29 10:54:35
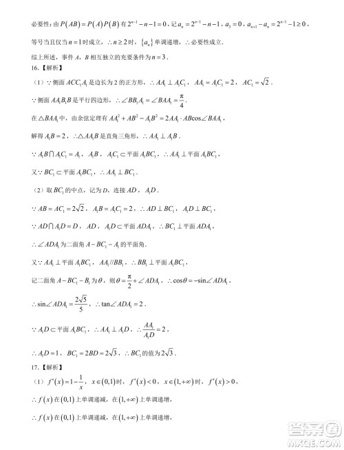
小编这次收集整理的是江苏射阳中学205届高三上学期7月月考的数学试题答案,时间120分钟,分值150分,想要练习的可以来做做看,这个是阶段性的练习,也是射阳中学的高三月考,想要做做看