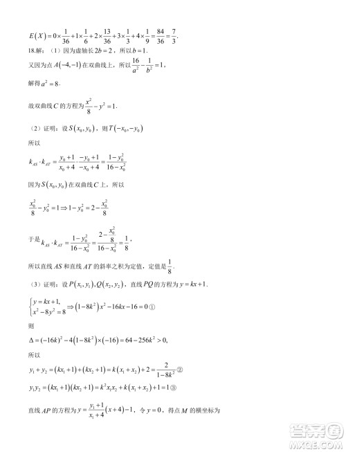
小编这次收集整理的是贵阳市2024年高三年级适应性考试一的数学试卷答案,这个就是贵阳市高三一模考试,2024年2月的,想要练习的可以来做做看,根据解析评估自己的分数,针对第二轮复习有一个好的规划!

答案如下,仅供参考!











2024届武钢三中高三下学期春节收心测数学试题答案
2024-02-26 09:50:56
小编这次收集整理的是2024届武钢三中高三下学期春节收心测的数学试题答案,这个系列的试卷是开学考试,也是收心考试,主要目的是为了让学子快速进入复习状态,同时也进行摸底了解,看
重庆拔尖强基联盟2024届高三下学期二月联合考试数学试题答案
2024-02-26 09:24:51
小编这次收集整理的是重庆西南大学附中、重庆育才中学、万州中学拔尖强基联盟2024届高三下学期二月联合考试的数学试题答案,这个是二月份的联考,由西南大学附中命题,适用于川渝
2024届湖南师大附中高三月考六数学试题答案
2024-02-26 08:46:51
小编这次收集整理的是2024届湖南师大附中高三月考六的数学试题答案,这个是湖南地区的考试,也是2月底的摸底考试和开学考试,想要练习一下的可以来做做看,这个是九省联考题型的哦,
湖南三湘名校教育联盟2024届高三下学期2月份入学摸底考试物理参考答案
2024-02-23 14:15:53
进入高三下学期,物理科目的备考压力不小,每次考试结束之后都得做好错题整理,这样才能把丢分的问题解决清楚。小编搜集了湖南三湘名校教育联盟2024届高三下学期2月份入学摸底考