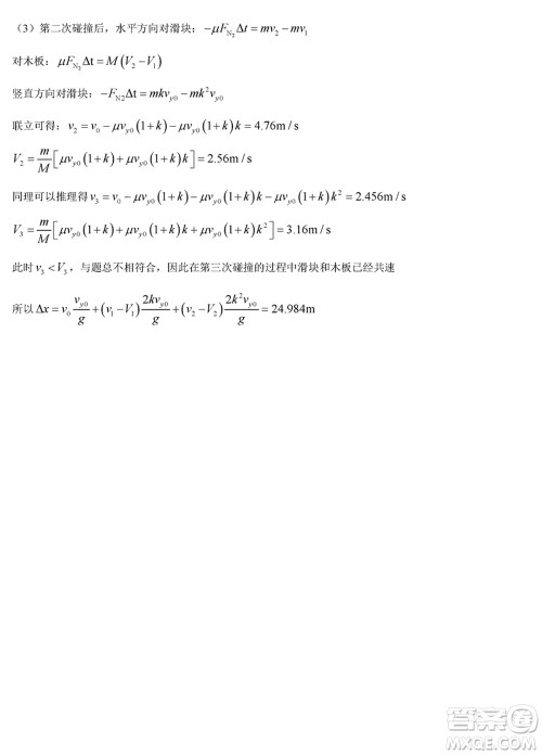
进入高三下学期,物理科目的备考压力不小,每次考试结束之后都得做好错题整理,这样才能把丢分的问题解决清楚。小编搜集了湖南三湘名校教育联盟2024届高三下学期2月份入学摸底考试物理参考答案,一起来看看吧。

答案如下:














湖南三湘名校教育联盟2024届高三下学期2月份入学摸底考试数学参考答案
2024-02-23 14:03:34
在高三下学期,数学科目的备考要多花心思,入学考是很重要的,大家得把握住机会,争取考完有所收获。今天整理了湖南三湘名校教育联盟2024届高三下学期2月份入学摸底考试数学参考答
梅州市2024届高三下学期2月份总复习质检试题数学参考答案
2024-02-22 12:46:47
在高三下学期,数学科目的备考很重要,大家得多花心思,考完记得查漏补缺,争取有效提升能力。小编分享梅州市2024届高三下学期2月份总复习质检试题数学参考答案,感兴趣的可以看过来
黑龙江省六校联盟2024届高三下学期联合适应性测试数学试题参考答案
2024-02-22 11:34:23
在高三下学期,学生们的备考积极性很高,考试结束之后一定得做好错题整理,这样才能有效提分。今天分享黑龙江省六校联盟2024届高三下学期联合适应性测试数学试题参考答案,感兴趣的
山西卓越联盟2024届高三下学期2月份开学质量检测英语试题参考答案
2024-02-22 11:22:10
小编整理了山西卓越联盟2024届高三下学期2月份开学质量检测英语试题参考答案,感兴趣的可以看过来。对于高三生来说,下学期的备考压力更大,英语科目想拿到好成绩就得珍惜考试机