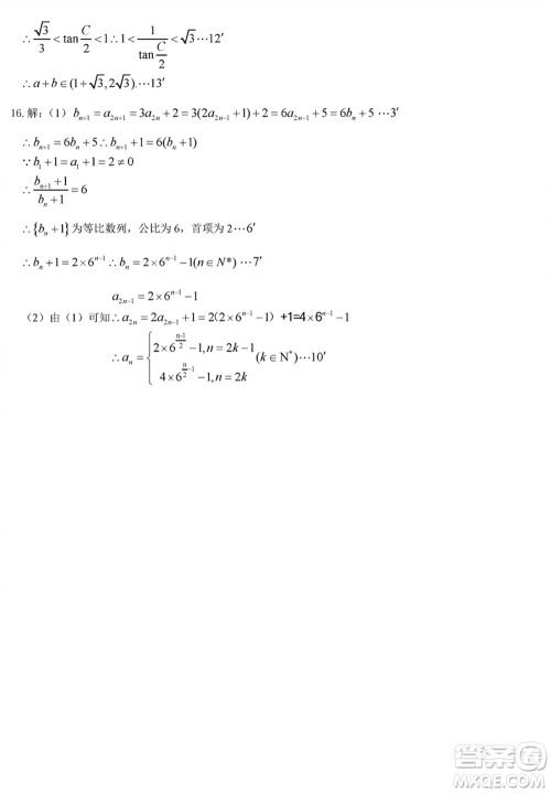
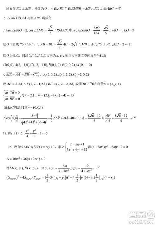
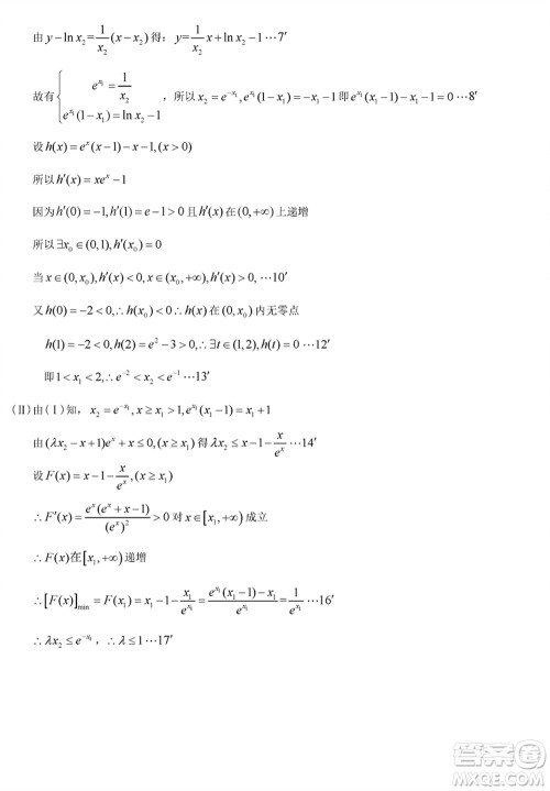
在高三下学期,学生们的备考积极性很高,考试结束之后一定得做好错题整理,这样才能有效提分。今天分享黑龙江省六校联盟2024届高三下学期联合适应性测试数学试题参考答案,感兴趣的可以对照看看。

答案如下:











山西卓越联盟2024届高三下学期2月份开学质量检测英语试题参考答案
2024-02-22 11:22:10
小编整理了山西卓越联盟2024届高三下学期2月份开学质量检测英语试题参考答案,感兴趣的可以看过来。对于高三生来说,下学期的备考压力更大,英语科目想拿到好成绩就得珍惜考试机
山西卓越联盟2024届高三下学期2月份开学质量检测数学试题参考答案
2024-02-22 11:16:02
在高三下学期,数学科目的备考压力很大,大家想拿到好成绩就得珍惜时间,考完试之后积极查漏补缺。小编分享山西卓越联盟2024届高三下学期2月份开学质量检测数学试题参考答案,一起
河北部分学校2024届高三上学期摸底考试数学试题答案
2024-02-20 15:18:40
小编这次收集整理的是河北部分学校2024届高三上学期摸底考试的数学试题案,这个可以在做完了之后来根据答案评估自己的分数,看看自己还记得多少知识点,对于提升成绩还是很有帮助
湖北新高考联考协作体2024届高三下学期2月收心考试数学试卷答案
2024-02-20 14:30:49
小编这次收集整理的是湖北新高考联考协作体2024届高三下学期2月收心考试的数学试卷答案,这个是新高考试题研究中心命题的,是2024年2月19日下午的考试,新鲜出炉,想要练习一下的可