到了高三年级,数学科目的备考要多花心思,考试结束后要积极反思,努力把丢分的问题解决好。今天分享咸阳市2024届高三上学期1月份高考模拟检测一文科数学参考答案,感兴趣的看过来。

答案如下:













吉林五校2024届高三上学期1月份联合模拟考试物理试题参考答案
2024-02-04 10:25:11
我们知道,高三年级的备考压力很大,学生们得抓住考试机会,考完记得反思自己,争取有所收获。小编分享吉林五校2024届高三上学期1月份联合模拟考试物理试题参考答案,赶紧看过来吧。
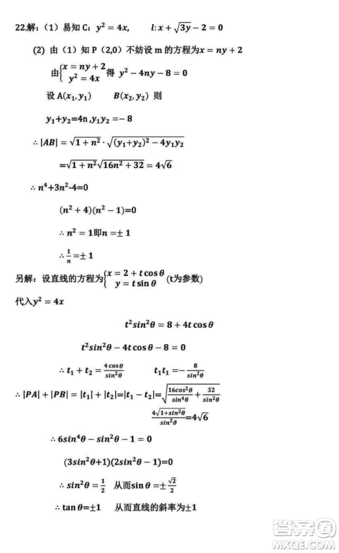
吉林五校2024届高三上学期1月份联合模拟考试数学试题参考答案
2024-02-04 10:09:06
近日,东北师大附中、长春十一高中、吉林一中、四平一中和松原实验中学的高三生开启了联合模拟考试。小编整理了数学试题及相关的答案,感兴趣的可以看过来,希望能帮到你们哦。吉
大联考湖南师大附中2024届高三上学期月考五数学参考答案
2024-02-04 09:49:25
在高三年级,数学科目的备考要求很多,每次考试结束之后记得查漏补缺,争取把丢分的问题解决好。小编搜集了大联考湖南师大附中2024届高三上学期月考五数学参考答案,赶紧看过来吧。
日照市2021级高三生上学期1月份期末校际联合考试化学试题参考答案
2024-02-02 10:39:28
在高三上学期,化学科目的备考要求不低,学生们要多做练习,努力把知识点巩固好。今天分享日照市2021级高三生上学期1月份期末校际联合考试化学试题参考答案,感兴趣的看过来吧,希望