近日,东北师大附中、长春十一高中、吉林一中、四平一中和松原实验中学的高三生开启了联合模拟考试。小编整理了数学试题及相关的答案,感兴趣的可以看过来,希望能帮到你们哦。

答案如下:









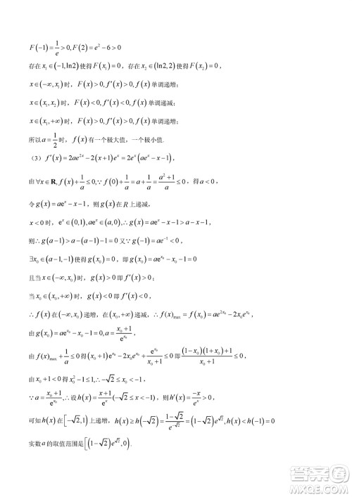
大联考湖南师大附中2024届高三上学期月考五数学参考答案
2024-02-04 09:49:25
在高三年级,数学科目的备考要求很多,每次考试结束之后记得查漏补缺,争取把丢分的问题解决好。小编搜集了大联考湖南师大附中2024届高三上学期月考五数学参考答案,赶紧看过来吧。
日照市2021级高三生上学期1月份期末校际联合考试化学试题参考答案
2024-02-02 10:39:28
在高三上学期,化学科目的备考要求不低,学生们要多做练习,努力把知识点巩固好。今天分享日照市2021级高三生上学期1月份期末校际联合考试化学试题参考答案,感兴趣的看过来吧,希望
日照市2021级高三生上学期1月份期末校际联合考试数学试题参考答案
2024-02-02 10:25:32
在高三上学期,学生们的备考压力很大,期末考试机会要把握住,考完一定得查漏补缺,不能偷懒。小编搜集了日照市2021级高三生上学期1月份期末校际联合考试数学试题参考答案,感兴趣的
晋城市2024届高三上学期1月份第一次模拟考试试题英语参考答案
2024-02-02 10:02:25
今天整理了晋城市2024届高三上学期1月份第一次模拟考试试题英语参考答案,感兴趣的可以对照看看。在高三上学期,大家的学习压力非常大,英语科目的备考要多花心思,考试结束之后务