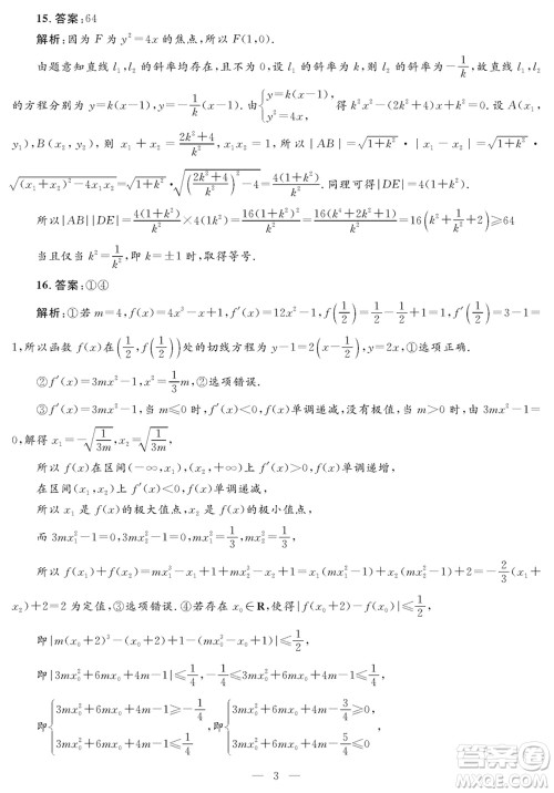
今天整理了陕西省2024届高三上学期1月份教学质量检测试题一理科数学参考答案,内容新颖,感兴趣的可以对照看看。对于高三生来说,数学科目的备考压力很大,考试过后要积极反思,这样才能有效提分。

答案如下:








陕西省2024届高三上学期1月份教学质量检测试题一文科数学参考答案
2024-01-30 10:59:34
在高三年级,数学科目的备考难度很高,每次考试结束之后都得做好错题整理,争取把丢分的问题解决好。小编整理了陕西省2024届高三上学期1月份教学质量检测试题一文科数学参考答案,
贵阳第一中学2024届高三上学期高考适应性月考卷五英语参考答案
2024-01-30 10:39:34
对于高三生来说,英语科目的备考要求不低,除了单词和语法,大家还得多读多写,争取提高成绩。小编搜集了贵阳第一中学2024届高三上学期高考适应性月考卷五英语参考答案,感兴趣的可以
贵阳第一中学2024届高三上学期高考适应性月考卷五物理参考答案
2024-01-30 10:15:35
我们知道,高中阶段的物理科目学习难度不低,到了高三,大家得多花心思,考试机会务必得把握住。小编搜集了贵阳第一中学2024届高三上学期高考适应性月考卷五物理参考答案,赶紧看过来
贵阳第一中学2024届高三上学期高考适应性月考卷五数学参考答案
2024-01-30 10:07:04
对于高三生来说,数学科目的备考要多花心思,每次考试结束之后记得做好错题整理,这样才能有效提分。小编整理了贵阳第一中学2024届高三上学期高考适应性月考卷五数学参考答案,感兴