对于高三生来说,数学科目的备考要多花心思,每次考试结束之后记得做好错题整理,这样才能有效提分。小编整理了贵阳第一中学2024届高三上学期高考适应性月考卷五数学参考答案,感兴趣的可以对照看看。

答案如下:

















南阳市2024届高三上学期期终质量评估英语试题参考答案
2024-01-30 09:57:15
对于高三生来说,英语科目的备考内容不少,大家想拿到好成绩就得把握住机会,每次考试结束之后积极反思。小编整理了南阳市2024届高三上学期期终质量评估英语试题参考答案,一起来看
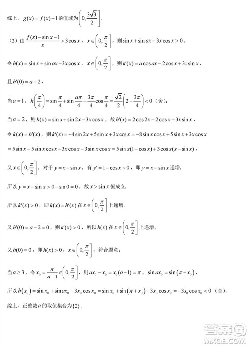
南阳市2024届高三上学期期终质量评估数学试题参考答案
2024-01-30 09:46:05
在高三年级,数学科目的备考要求不低,每次考试结束之后要积极反思,这样才能有效提分。小编整理了南阳市2024届高三上学期期终质量评估数学试题参考答案,感兴趣的可以看过来。南阳
三门峡市2023-2024学年高三上学期1月份第一次大练习物理参考答案
2024-01-29 17:53:36
小编搜集了三门峡市2023-2024学年高三上学期1月份第一次大练习物理参考答案,内容丰富,感兴趣的可以对照看看。在高三上学期,物理科目的备考难度不低,只有把握住考试机会,才能有效
三门峡市2023-2024学年高三上学期1月份第一次大练习数学参考答案
2024-01-29 17:32:26
在高三上学期,数学科目的备考压力不小,每天都会经历考试,大家得把握住机会,这样才能有效提分。今天分享三门峡市2023-2024学年高三上学期1月份第一次大练习数学参考答案,一起来看