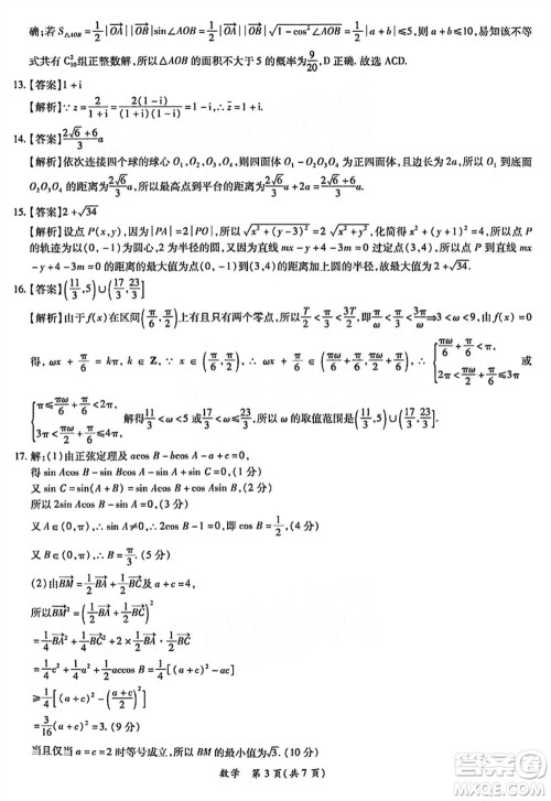
今天整理了2024年茂名市高三上学期1月份第一次综合测试数学试卷参考答案,内容丰富,感兴趣的可以对照看看。在高三年级,数学科目的备考内容不少,大家得把握住考试机会,这样才能提高成绩。

答案如下:











2024年茂名市高三上学期1月份第一次综合测试物理试卷参考答案
2024-01-29 09:32:41
在高三年级,物理科目的备考要求不少,每次考试结束之后要积极查漏补缺,这样才能有效提分。小编整理了2024年茂名市高三上学期1月份第一次综合测试物理试卷参考答案,感兴趣的可以
大理州2024届高中毕业生第二次复习统一检测数学参考答案
2024-01-29 09:20:52
在高三年级,数学科目的备考压力很大,考试是家常便饭,但大家得珍惜机会,考完记得反思,这样才能有所收获。小编分享大理州2024届高中毕业生第二次复习统一检测数学参考答案,感兴趣的
广东汕头2024届高三上学期期末调研测试数学试题答案
2024-01-28 09:33:28
小编这次收集整理的是广东汕头2024届高三上学期期末调研测试的数学试题答案,这个是1月底的期末考试,也是对高三上学期的一个知识点的总结和回顾,想要练习一下的可以来看看哦!广
成都石室中学2023-2024学年高三上学期期末考试理科数学参考答案
2024-01-26 13:55:37
对于高三生来说,数学科目的备考压力很大,考试机会一定得把握住,争取提高成绩。小编整理了成都石室中学2023-2024学年高三上学期期末考试理科数学参考答案,感兴趣的可以对照了解