对于高三生来说,数学科目的备考压力很大,考试机会一定得把握住,争取提高成绩。小编整理了成都石室中学2023-2024学年高三上学期期末考试理科数学参考答案,感兴趣的可以对照了解。

答案如下:












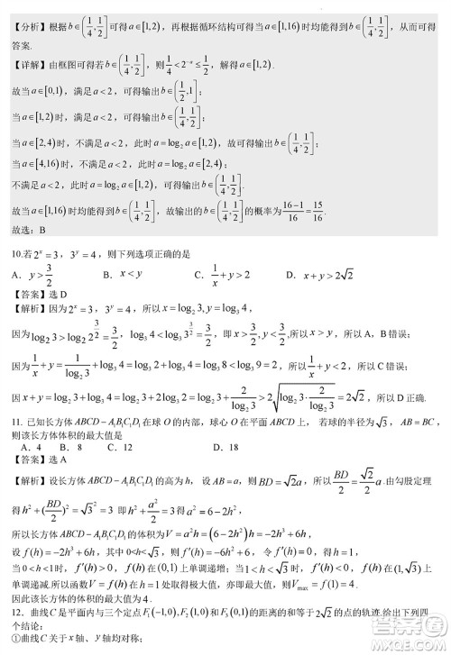
太原市2023-2024学年高三上学期期末学业诊断数学试卷参考答案
2024-01-26 13:47:11
我们知道,高三年级的备考压力很大,期末考试是检验效果的重要方式,大家务必得认真把握。小编整理了太原市2023-2024学年高三上学期期末学业诊断数学试卷参考答案,赶紧看过来吧。
石家庄市2024届高三上学期1月份省级联测考试生物参考答案
2024-01-26 13:37:14
在高三年级,生物科目的备考难度不低,大家得把握住机会,考试结束之后做好反思,争取有所收获。小编分享石家庄市2024届高三上学期1月份省级联测考试生物参考答案,感兴趣的可以看过
石家庄市2024届高三上学期1月份省级联测考试化学参考答案
2024-01-26 11:51:50
在高三上学期,化学科目的备考要多花心思,平时勤做练习,考试才能拿到好成绩。今天分享石家庄市2024届高三上学期1月份省级联测考试化学参考答案,感兴趣的可以对照了解,希望能帮到
百师联盟2024届高三上学期一轮复习联考五新高考数学卷参考答案
2024-01-26 11:37:15
对于高三生来说,联考机会要把握住,考完记得查漏补缺,这样才能有效提分。今天整理了百师联盟2024届高三上学期一轮复习联考五新高考数学卷参考答案,感兴趣的可以看过来,希望能帮到