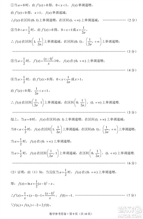
对于高三生来说,数学科目的备考难度很大,每次考试结束之后都得积极反思,争取有所收获。小编分享邵通市2024届高三上学期1月份高中毕业生诊断性检测数学参考答案,感兴趣的可以看过来。

答案如下:














湖北省宜荆荆随恩2024届高三上学期1月联考英语参考答案
2024-01-25 11:27:09
对于即将高考的学生来说,英语科目的备考难度不低,除了单词和语法,考试机会一定得把握住。今天整理了湖北省宜荆荆随恩2024届高三上学期1月联考英语参考答案,赶紧看过来,希望能帮
2024届广东省四校联考高三上学期1月期末数学试题答案
2024-01-25 11:22:07
小编这次收集整理的是2024届广东省四校联考高三上学期1月期末的数学试题答案,命题学校是广东实验中学,这个是华附、省实、广雅、深中的四校高三联考,出题难度还是很合适的,感兴
南通市2024届高三上学期1月份第一次调研测试数学参考答案
2024-01-25 11:18:25
在高三上学期,大家要珍惜时间,把握考试机会,争取提升自己的能力,从而拿到高分。今天整理了南通市2024届高三上学期1月份第一次调研测试数学参考答案,赶紧看过来,希望能帮到你们。
2024年1月份茂名市高三上学期第一次综合测试数学试卷参考答案
2024-01-25 11:12:34
在高三年级,数学科目的备考难度很大,学生们要把握每次考试机会,考完务必查漏补缺,争取有所收获。小编分享2024年1月份茂名市高三上学期第一次综合测试数学试卷参考答案,一起来了