在高三年级,数学科目的备考难度很大,学生们要把握每次考试机会,考完务必查漏补缺,争取有所收获。小编分享2024年1月份茂名市高三上学期第一次综合测试数学试卷参考答案,一起来了解吧。

答案如下:











福建省部分地市2024届高中毕业班1月份第一次质量检测数学试题参考答案
2024-01-25 10:48:50
我们知道,高三年级的备考不简单,数学是重中之重,大家务必得多花心思,争取拿到好成绩。近日,福建省内部分地市(厦门、龙岩、莆田、三明、南平、宁德)举行2024届高三第一次质检考试,小
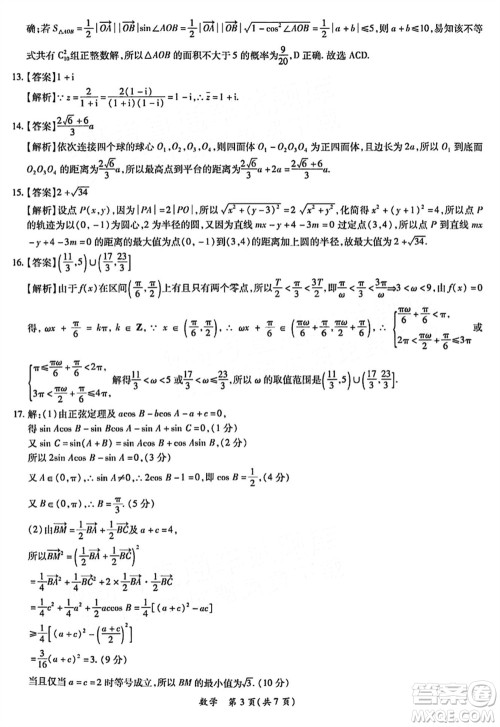
淮安市2023-2024学年高三上学期期末调研测试数学试卷参考答案
2024-01-25 10:31:22
今天分享淮安市2023-2024学年高三上学期期末调研测试数学试卷参考答案,内容丰富,感兴趣的可以对照看看。这是为高三年级学生搜集到的考试题目及答案,希望能帮到你们。不过,答案
2024年1月葫芦岛市高三上学期普通高中学业质量监测考试数学参考答案
2024-01-25 10:17:00
在高三上学期,数学科目的备考压力很大,每次考试之后要做好错题整理,这样才有有效提分。小编整理了2024年1月葫芦岛市高三上学期普通高中学业质量监测考试数学参考答案,赶紧看过
百师联盟2024届高三上学期一轮复习联考五新高考卷语文参考答案
2024-01-25 10:04:43
到了高三年级,语文科目的备考难度不低,想要拿到好成绩就得把握住考试机会,考完记得查漏补缺。小编整理了百师联盟2024届高三上学期一轮复习联考五新高考卷语文参考答案,感兴趣的