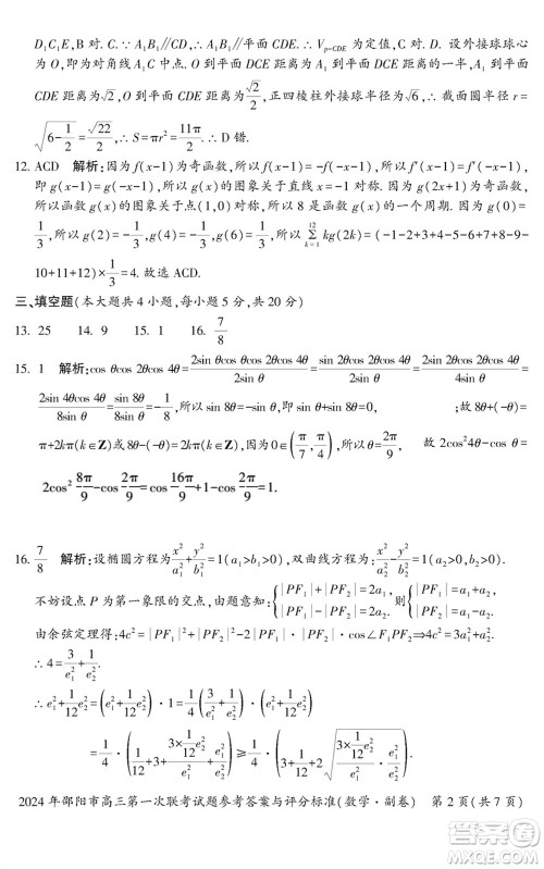
今天分享邵阳市2024届高三上学期1月份第一次联考数学试题参考答案,内容丰富,感兴趣的可以看过来。对于高三生来说,数学科目的备考要重视起来,除了日常的学习,考试机会务必把握住。

答案如下:











湖北省宜荆荆随恩2024届高三上学期1月联考数学参考答案
2024-01-24 10:19:24
在高三上学期,学生们的备考压力很大,尤其是数学科目,想要拿到好成绩不容易,大家得珍惜机会。今天整理了湖北省宜荆荆随恩2024届高三上学期1月联考数学参考答案,感兴趣的可以对照
唐山市2023-2024学年高三上学期期末考试数学参考答案
2024-01-24 10:07:22
到了高三年级,数学科目的备考要多花心思,期末考试机会一定要把握住,争取拿到好成绩。小编整理了唐山市2023-2024学年高三上学期期末考试数学参考答案,感兴趣的可以对照看看哦!唐
2024年天津市八所重点学校高三上学期毕业班联考物理试卷参考答案
2024-01-24 09:51:46
在高三年级,物理科目的备考内容很多,每次考试一定得把握住,考完务必做好错题整理,这样才能有效提分。小编分享2024年天津市八所重点学校高三上学期毕业班联考物理试卷参考答案,一
2024年天津市八所重点学校高三上学期毕业班联考数学试卷参考答案
2024-01-24 09:44:46
在高三年级,数学科目的备考压力很大,大家得珍惜考试机会,争取提升自己的能力。小编分享2024年天津市八所重点学校高三上学期毕业班联考数学试卷参考答案,内容丰富,感兴趣的可以对