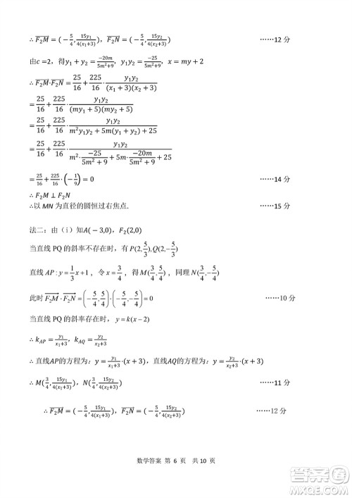
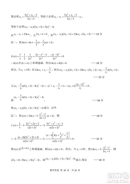
在高三年级,数学科目的备考压力很大,大家得珍惜考试机会,争取提升自己的能力。小编分享2024年天津市八所重点学校高三上学期毕业班联考数学试卷参考答案,内容丰富,感兴趣的可以对照看看。

答案如下:















滨州市2024届高三上学期1月份期末考试物理参考答案
2024-01-23 11:04:55
我们知道,物理科目的备考难度很大,高三生要珍惜考试机会,考完记得认真反思,争取把丢分的内容搞清楚。小编分享滨州市2024届高三上学期1月份期末考试物理参考答案,感兴趣的可以看
滨州市2024届高三上学期1月份期末考试数学参考答案
2024-01-23 10:55:37
今天分享滨州市2024届高三上学期1月份期末考试数学参考答案,内容新颖,感兴趣的可以对照了解。在高三年级,考试机会需要认真把握,只有积极查漏补缺,才能把知识点巩固好。此外,这份
西安中学2023-2024学年高三上学期1月份期末考试理科数学参考答案
2024-01-23 10:39:39
对于高三生来说,考试是检验备考效果的重要途径,大家考完之后记得做好错题整理,这样才能有效提分。今天分享西安中学2023-2024学年高三上学期1月份期末考试理科数学参考答案,一起
西安中学2023-2024学年高三上学期1月份期末考试文科数学参考答案
2024-01-23 10:35:09
今天整理了西安中学2023-2024学年高三上学期1月份期末考试文科数学参考答案,内容丰富,感兴趣的可以对照看看。在高三上学期,期末考试要认真对待,考完记得反思,争取有所收获。西安