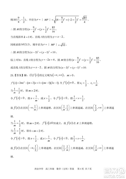
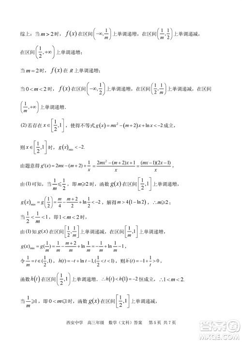
今天整理了西安中学2023-2024学年高三上学期1月份期末考试文科数学参考答案,内容丰富,感兴趣的可以对照看看。在高三上学期,期末考试要认真对待,考完记得反思,争取有所收获。

答案如下:












北京市朝阳区2024届高三上学期1月份期末考试物理参考答案
2024-01-23 10:12:15
在高三上学期,期末考试是很重要的,大家务必得把握住机会,争取拿到好成绩。当然,考完一定要查漏补缺。小编分享北京市朝阳区2024届高三上学期1月份期末考试物理参考答案,感兴趣的
北京市朝阳区2024届高三上学期1月份期末考试数学参考答案
2024-01-23 09:52:14
对于高三生来说,上学期的备考压力很大,数学科目想要拿到好成绩就得把握住机会,尤其是考完之后,务必要有所收获。小编整理了北京市朝阳区2024届高三上学期1月份期末考试数学参考
苏州市2023-2024学年高三上学期1月份学业质量阳光指标调研卷数学参考答案
2024-01-23 09:39:18
在高三年级,学生们会经历各种考试,考完之后记得查漏补缺,争取把知识点掌握清楚。小编分享苏州市2023-2024学年高三上学期1月份学业质量阳光指标调研卷数学参考答案,赶紧看过来。
2024年普通高等学校招生全国统一考试高三第一次联合诊断检测数学答案
2024-01-19 16:53:42
小编这次收集整理的是2024年普通高等学校招生全国统一考试高三第一次联合诊断检测的数学答案,数学检测试卷一共4页,这个是重庆地区使用的,其他地区也可以测试一下,寒假期间也要