小编这次收集整理的是2024年普通高等学校招生全国统一考试高三第一次联合诊断检测的数学答案,数学检测试卷一共4页,这个是重庆地区使用的,其他地区也可以测试一下,寒假期间也要多练习多做模拟,才能更好的巩固知识!

答案如下,仅供参考!









湖北省部分重点高中2024届高三上学期第二次联考物理参考答案
2024-01-19 15:13:12
今天整理了湖北省部分重点高中2024届高三上学期第二次联考物理参考答案,内容丰富,感兴趣的可以看过来。这是为高三年级学生搜集到的联考题目及答案,希望能帮到你们。不过,答案仅
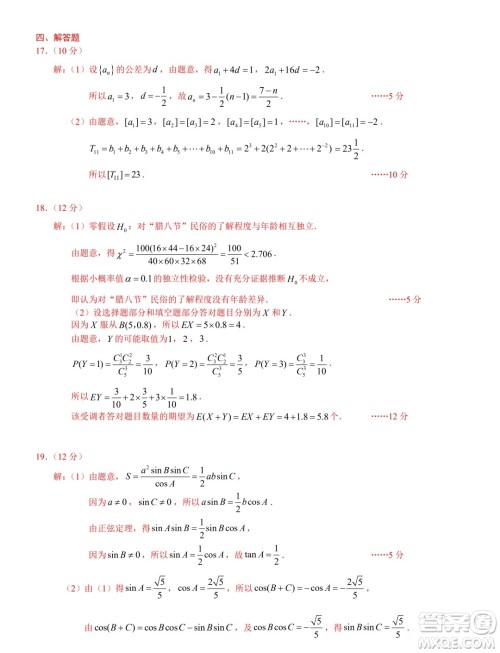
肇庆市2024届高三上学期1月份毕业班第二次教学质量检测数学参考答案
2024-01-19 15:04:57
对于高三生来说,数学科目的备考难度很大,每次考试之后都得查漏补缺,这样才能有效提分。小编分享肇庆市2024届高三上学期1月份毕业班第二次教学质量检测数学参考答案,感兴趣的可
佛山市2023-2024学年高三上学期1月份教学质量检测一数学参考答案
2024-01-19 14:53:16
到了高三年级,学生们的备考压力很大,数学科目是重点,考试机会务必得把握住。今天整理了佛山市2023-2024学年高三上学期1月份教学质量检测一数学参考答案,感兴趣的可以对照看看。
淄博市2023-2024学年高三上学期1月份摸底考试数学参考答案
2024-01-19 14:44:21
小编整理了淄博市2023-2024学年高三上学期1月份摸底考试数学参考答案,内容新颖,感兴趣的可以看过来。对于高三生来说,考试是家常便饭,但考完之后记得反思,争取有所收获。淄博市20