小编这次收集整理的是2024届宝鸡一模的文科数学试题答案,理科模拟练习的也有收集整理,这个系列的是宝鸡一模考试的数学整合题目,目前还是分文理科的,在练习的时候要注意区分一下,根据自己所在地区选择练习!

答案如下,仅供参考!









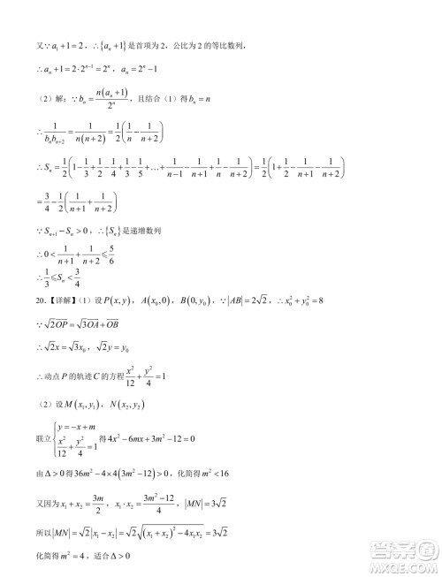
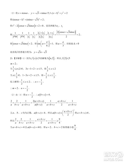
2024届宝鸡一模理科数学试题答案
2024-01-16 16:11:52
小编这次收集整理的是2024届宝鸡一模理科数学的试题答案,这个是2024年宝鸡市高考模拟检测一的考试理科部分试题,还有文科数学,站内搜宝鸡一模就可以搜到了,这个适用于整个陕西省
2024届昆明三诊一模摸底诊断测试数学试题答案
2024-01-16 16:03:00
小编这次收集整理的是2024届昆明三诊一模摸底诊断测试的数学试题答案,这个是1月15日考试的试题,结合了昆明市当前的学习进度进行的一次摸底考试,其他地区的也可以来做做看,相对
2024年西安交通大学少年班招生初试数学试题答案
2024-01-16 11:02:12
小编这次收集整理的是2024年西安交通大学少年班招生初试的数学试题答案,这个系列的还是非常不错的,也非常适合高三的学子挑战一下难度,少年班的招生初试各个地区的都可以做做,感
江西省五市九校协作体2024届高三上学期第一次联考数学参考答案
2024-01-12 09:54:49
到了高三年级,数学科目的备考要珍惜考试机会,考完记得查漏补缺,这样才能有效提分。今天搜集了江西省五市九校协作体2024届高三上学期第一次联考数学参考答案,内容丰富,欢迎大家查