到了高三年级,数学科目的备考要珍惜考试机会,考完记得查漏补缺,这样才能有效提分。今天搜集了江西省五市九校协作体2024届高三上学期第一次联考数学参考答案,内容丰富,欢迎大家查阅。

答案如下:








湖北省部分市州2024年元月高三期末联考英语试题参考答案
2024-01-12 09:38:05
在高三年级,英语科目的备考难度不低,考试是检验成果的重要手段,大家务必得把握住。小编搜集了湖北省部分市州2024年元月高三期末联考英语试题参考答案,内容丰富,希望能帮到你们。
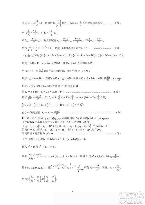
天一大联考顶尖联盟2024届高三上学期阶段性测试二老教材版理科数学参考答案
2024-01-12 09:22:59
在高三年级,数学科目的备考要求不少,每次考试结束之后就得积极反思,争取把知识点掌握清楚。小编整理了天一大联考顶尖联盟2024届高三上学期阶段性测试二老教材版理科数学参考答
哈尔滨市三校2023-2024学年高三上学期期末考试联考政治试题参考答案
2024-01-08 10:57:43
在高三年级,政治科目的备考内容不少,大家平时就得多背多思考,遇到考试务必认真对待,争取提升能力。小编搜集了哈尔滨市三校2023-2024学年高三上学期期末考试联考政治试题参考答
哈尔滨市三校2023-2024学年高三上学期期末考试联考历史试题参考答案
2024-01-08 10:41:44
我们知道,高三上学期的备考内容不少,到了期末阶段,大家得把握住机会,争取拿到好成绩。今天分享哈尔滨市三校2023-2024学年高三上学期期末考试联考历史试题参考答案,赶紧看过来,希