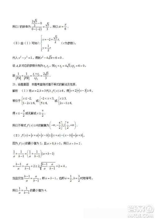
在高三年级,数学科目的备考要求不少,每次考试结束之后就得积极反思,争取把知识点掌握清楚。小编整理了天一大联考顶尖联盟2024届高三上学期阶段性测试二老教材版理科数学参考答案,欢迎大家查阅。

答案如下:














哈尔滨市三校2023-2024学年高三上学期期末考试联考政治试题参考答案
2024-01-08 10:57:43
在高三年级,政治科目的备考内容不少,大家平时就得多背多思考,遇到考试务必认真对待,争取提升能力。小编搜集了哈尔滨市三校2023-2024学年高三上学期期末考试联考政治试题参考答
哈尔滨市三校2023-2024学年高三上学期期末考试联考历史试题参考答案
2024-01-08 10:41:44
我们知道,高三上学期的备考内容不少,到了期末阶段,大家得把握住机会,争取拿到好成绩。今天分享哈尔滨市三校2023-2024学年高三上学期期末考试联考历史试题参考答案,赶紧看过来,希
哈尔滨市三校2023-2024学年高三上学期期末考试联考地理试题参考答案
2024-01-08 10:28:56
到了期末阶段,地理科目的备考要把握住机会,除了课堂上,课下务必勤做练习,争取拿到好成绩。小编搜集了哈尔滨市三校2023-2024学年高三上学期期末考试联考地理试题参考答案,感兴趣
海南省2023-2024学年高三上学期1月高考全真模拟卷五物理参考答案
2024-01-08 10:11:33
在高三年级,上学期的备考压力很大,学生们要坚定信念,争取奋战到最后。小编搜集了海南省2023-2024学年高三上学期1月高考全真模拟卷五物理参考答案,感兴趣的可以对照了解。当然,答