到了高三年级,数学科目的备考要关注起来,平时的考试一定得把握住机会,考完务必要有所收获。今天搜集了商洛市2024届高三上学期第一次模拟检测文科数学试卷参考答案,内容丰富,感兴趣的可以看过来。

答案如下:










商洛市2024届高三上学期第一次模拟检测理科数学试卷参考答案
2023-12-25 10:41:49
小编整理了商洛市2024届高三上学期第一次模拟检测理科数学试卷参考答案,内容丰富,感兴趣的可以看过来。这是为高三年级学生搜集到的考试题目及答案,希望能帮到你们。当然,答案仅
天一大联考皖豫名校联盟2024届高中毕业班上学期第二次考试化学参考答案
2023-12-25 10:27:33
对于高三生来说,化学科目的备考要多背多练习,努力把知识点掌握清楚,这样才能拿到好成绩。小编搜集了天一大联考皖豫名校联盟2024届高中毕业班上学期第二次考试化学参考答案,赶紧
天一大联考皖豫名校联盟2024届高中毕业班第二次考试英语参考答案
2023-12-25 10:16:25
进入高三上学期,英语科目的备考要多花心思,除了上课,考试机会一定要把握住。小编搜集了天一大联考皖豫名校联盟2024届高中毕业班第二次考试英语参考答案,感兴趣的可以对照看看,希
天一大联考皖豫名校联盟2024届高中毕业班上学期第二次考试物理参考答案
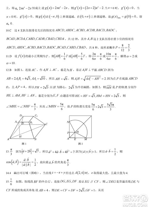
2023-12-25 10:01:34
我们知道,物理科目的备考难度很大,学生们想拿到好成绩就得付出努力,平时的考试机会得把握住。小编搜集了天一大联考皖豫名校联盟2024届高中毕业班上学期第二次考试物理参考答案