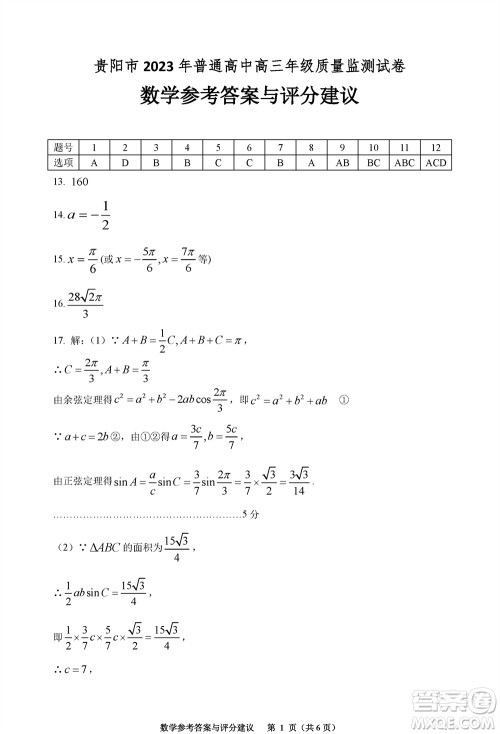
小编整理了贵阳市2023年普通高中高三年级上学期11月质量监测试卷数学答案,感兴趣的可以看过来。对于高三生来说,数学科目的考试要重视,考完之后记得查漏补缺,争取把知识点掌握清楚。

答案如下:














贵阳市2023年普通高中高三年级上学期11月质量监测试卷语文答案
2023-11-20 11:26:57
对于高三生来说,语文科目的备考要多花心思,平时的考试机会要把握住,考完之后记得查漏补缺,这样才能拿到高分。小编分享贵阳市2023年普通高中高三年级上学期11月质量监测试卷语文
景德镇市2024届高三上学期第一次质检试题数学参考答案
2023-11-20 11:11:45
在高三年级,数学科目的备考压力非常大,学生们想拿到好成绩就得多花心思,课下也得积极完成练习。小编整理了景德镇市2024届高三上学期第一次质检试题数学参考答案,感兴趣的可以对
福建龙岩名校2023-2024学年高三上学期期中考试数学试题答案
2023-11-20 10:40:38
小编这次收集整理的是福建龙岩名校2023-2024学年高三上学期期中考试的数学试题答案,本试卷主要考试内容:集合与常用逻辑用语,一元二次函数与不等式,函数与导数,三角丽数与解
福建百校联考2023-2024学年高中毕业班第一学期期中考试地理答案
2023-11-20 10:37:23
在高三年级,地理科目的备考内容不少,大家要珍惜时间,重点把握考试机会,争取拿到好成绩。小编整理了福建百校联考2023-2024学年高中毕业班第一学期期中考试地理答案,感兴趣的可以