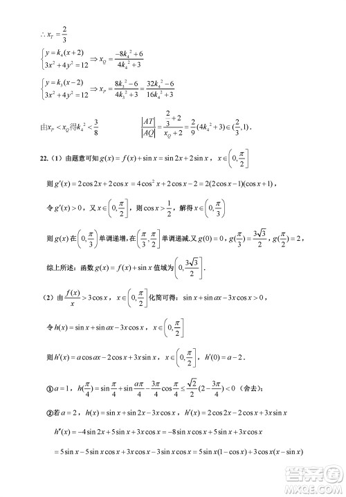
在高三年级,数学科目的备考压力非常大,学生们想拿到好成绩就得多花心思,课下也得积极完成练习。小编整理了景德镇市2024届高三上学期第一次质检试题数学参考答案,感兴趣的可以对照了解。

答案如下:














福建百校联考2023-2024学年高中毕业班第一学期期中考试地理答案
2023-11-20 10:37:23
在高三年级,地理科目的备考内容不少,大家要珍惜时间,重点把握考试机会,争取拿到好成绩。小编整理了福建百校联考2023-2024学年高中毕业班第一学期期中考试地理答案,感兴趣的可以
福建百校联考2023-2024学年高中毕业班第一学期期中考试政治答案
2023-11-20 10:23:39
我们知道,高三年级的政治科目想要拿到好成绩就得多花心思,课下务必勤做练习,争取把知识点掌握牢固。小编分享福建百校联考2023-2024学年高中毕业班第一学期期中考试政治答案,感
广东佛山禅城区2024届高三上学期统一调研测试一数学试题答案
2023-11-20 10:14:01
小编这次收集整理的是广东佛山禅城区2024届高三上学期统一调研测试一的数学试题答案,本次试卷共5页,满分150分,考试时间120分钟,这个系列的试卷也是广东佛山禅城区的高三一诊,出
福建百校联考2023-2024学年高中毕业班第一学期期中考试化学答案
2023-11-20 10:09:57
进入高三年级,化学科目的备考要重视起来,每次考试结束之后记得反思,争取把知识点掌握清楚。小编分享福建百校联考2023-2024学年高中毕业班第一学期期中考试化学答案,感兴趣的可