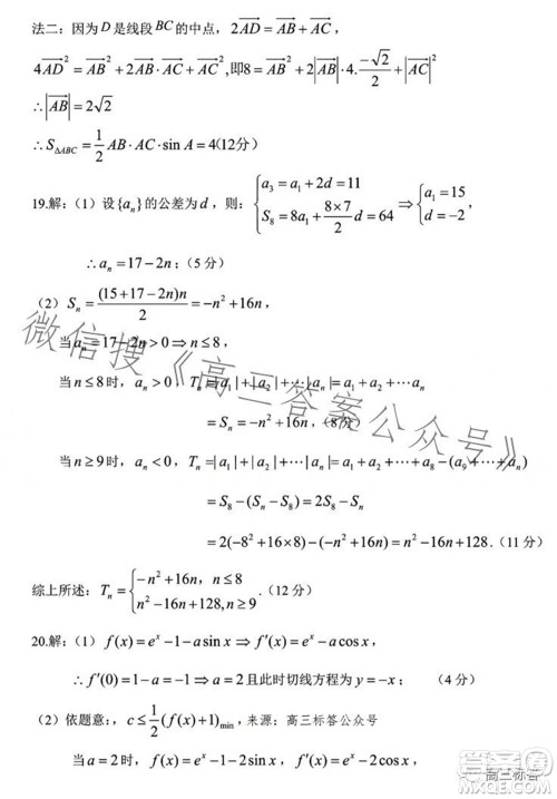
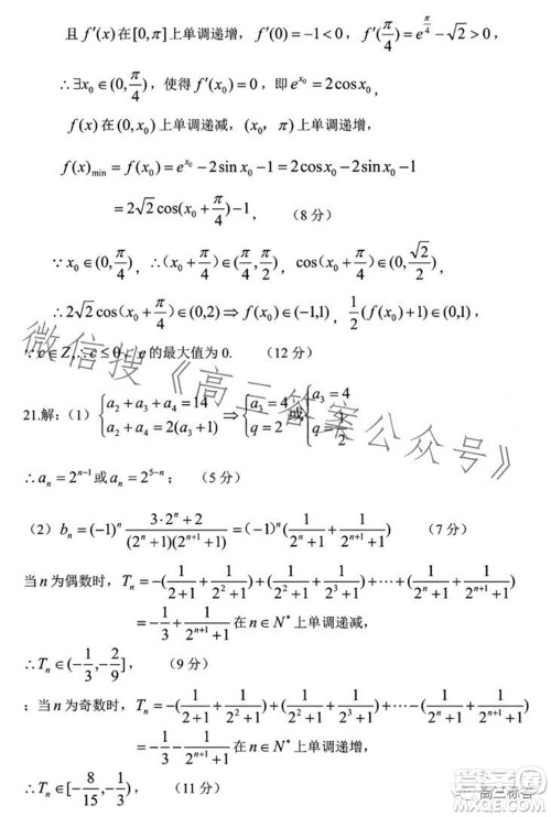
小编分享2023年秋鄂东南省级示范高中教育教学改革联盟学校期中联考高三数学试题答案,感兴趣的可以看过来。对于高三生来说,数学科目的备考不简单,各类考试机会要把握住,结束之后要积极查漏补缺!

答案如下:








2023年秋鄂东南省级示范高中教育教学改革联盟学校期中联考高三语文试题答案
2023-11-02 13:34:46
在高三年级,学生们的学习积极性很高,语文科目的备考要多花心思,平时的考试机会一定要把握住。小编分享2023年秋鄂东南省级示范高中教育教学改革联盟学校期中联考高三语文试题答
北京海淀区2024届高三上学期期中考试语文试题及答案
2023-11-02 11:53:46
在高三年级,学生们要重视语文科目的备考,每天下课之后坚持做练习,这样才能把知识点掌握好。小编分享北京海淀区2024届高三上学期期中考试语文试题及答案,感兴趣的可以看过来,希望
北京海淀区2024届高三上学期期中考试数学试题及答案
2023-11-02 11:33:15
小编整理了北京海淀区2024届高三上学期期中考试数学试题及答案,感兴趣的可以看过来。对于高三生来说,数学科目的备考要认真对待,除了课堂学习,课下时间也得把握住。此外,这份答案
雅安市2024届高三零诊质量检测考试生物试题及答案
2023-11-02 09:36:36
小编分享雅安市2024届高三零诊质量检测考试生物试题及答案,感兴趣的可以对照看看。在高三年级,生物科目的学习难度不低,大家想拿到好成绩就得勤做练习,平时的考试也得把握住。此