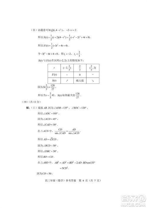
小编整理了北京海淀区2024届高三上学期期中考试数学试题及答案,感兴趣的可以看过来。对于高三生来说,数学科目的备考要认真对待,除了课堂学习,课下时间也得把握住。此外,这份答案仅供参考哦!

答案如下:













雅安市2024届高三零诊质量检测考试生物试题及答案
2023-11-02 09:36:36
小编分享雅安市2024届高三零诊质量检测考试生物试题及答案,感兴趣的可以对照看看。在高三年级,生物科目的学习难度不低,大家想拿到好成绩就得勤做练习,平时的考试也得把握住。此
雅安市2024届高三零诊质量检测考试理科数学试题及答案
2023-11-02 09:20:20
在高三年级,学生们的学习积极性很高,数学科目的备考要抓住机会,比如各种考试,争取把知识点掌握清楚。小编分享雅安市2024届高三零诊质量检测考试理科数学试题及答案,感兴趣的看过
雅安市2024届高三零诊质量检测考试文科数学试题及答案
2023-11-02 09:09:15
小编整理了雅安市2024届高三零诊质量检测考试文科数学试题及答案,感兴趣的可以看过来。对于高三生来说,数学科目的备考要多花心思,平时珍惜考试机会,积极查漏补缺,这样才能拿到好
雅安市2024届高三10月份零诊质量检测考试语文试题及答案
2023-11-01 17:49:01
小编整理了雅安市2024届高三10月份零诊质量检测考试语文试题及答案,感兴趣的可以看过来。对于高三生来说,语文科目的备考要多花心思,除了课堂上认真复习,课下也得多做练习,平时的