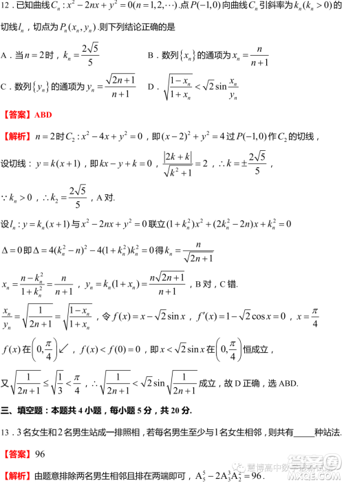
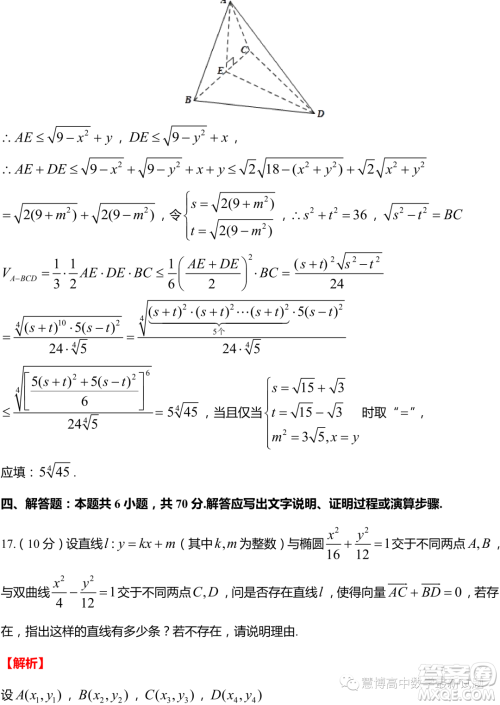
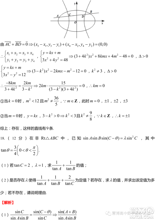
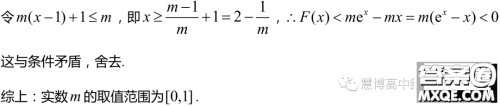
小编这次收集整理的是2024届江苏淮安高三第一次调研测试的数学试题答案,这个是上学期的期初考试了,其他学科的后续也会陆续收集整理,感兴趣的可以来模拟练习看看哦!

答案如下,仅供参考!















长郡中学2024届高三月考试卷一语文试卷答案
2023-09-11 16:55:48
小编这次收集整理的是长郡中学2024届高三月考试卷一的语文试卷答案,本试卷共4道大题,23道小题,时量150分钟,满分150分,这个系列的还是很不错的,感兴趣的可以来看看哦!长郡中学2024
南京市2024届高三年级学情调研化学试卷答案
2023-09-11 16:05:12
小编这次收集整理的是南京市2024届高三年级学情调研的化学试卷答案,本试卷分选择题和非选择题两部分,一共100分,考试用时75分钟,这个系列的还是非常不错的,其他学科的也有整合,站
南京市2024届高三年级学情调研语文试卷答案
2023-09-11 15:12:01
小编这次收集整理的是南京市2024届高三年级学情调研的语文试卷答案,这个系列的试卷站内还有整理其他学科的,有需要的可以直接站内搜学情调研就可以搜到,多做对应练习评估自己当
第37届中国化学奥林匹克初赛试题答案
2023-09-11 14:22:00
小编这次收集整理的是第37届中国化学奥林匹克初赛的试题答案,解析还是非常详细的,是2023年9月3日的考试,感兴趣的可以来看看,检查一下自己做的对不对吧!第37届中国化学奥林匹克初