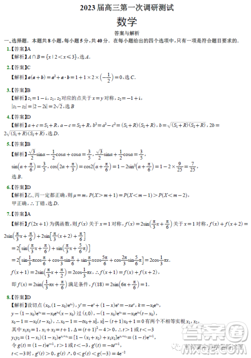
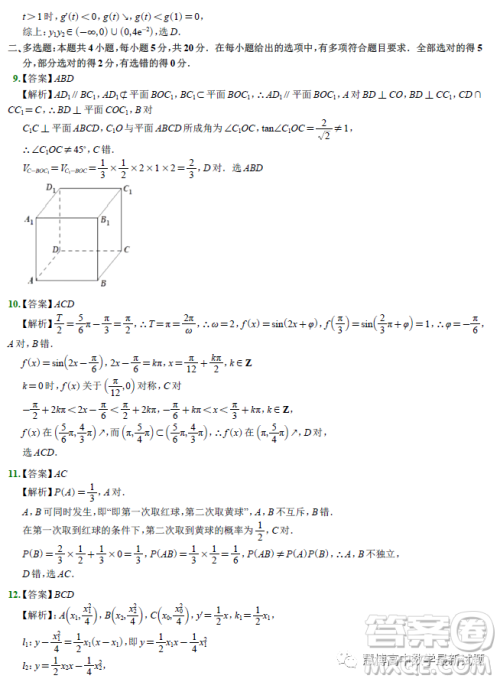
小编这次收集整理的是南通市2023届高三第一次调研测试的数学试卷答案,这个系列的还有地区的,这个是南通市的高三一模考试,题目含金量还是不错的,非常适合当前的复习模拟考试,感兴趣的可以来看看哦!

答案如下,仅供参考!











泉州市2023届高中毕业班质量监测二高三数学试卷答案
2023-02-15 09:57:54
小编这次收集整理的是泉州市2023届高中毕业班质量监测二的高三数学试卷答案,这个系列的还有其他学科的和之前的,这个也是泉州市的高三二检考试,一检考试的答案和试卷也有整合,站
2023安徽皖江名校联盟高三下学期开学摸底联考数学试题答案
2023-02-15 09:36:41
小编这次收集整理的是皖江名校联盟高三下学期开学摸底联考的数学试题答案,这个是高三的开学考试,适用于安徽地区的学校,想要来进行模拟练习的可以来看看哦,不要照抄,做完了再来核
合肥市2023年高三第一次教学质量检测英语试卷答案
2023-02-12 15:52:00
小编这次收集整理的是合肥市2023年高三第一次教学质量检测的英语试卷答案,这个系列的还有其他学科的,站内也有整合,直接搜合肥市就可以搜到了,还是非常不错的,感兴趣的可以来看看
合肥市2023年高三第一次教学质量检测语文试题答案
2023-02-12 15:39:22
小编这次收集整理的是合肥市2023年高三第一次教学质量检测的语文试题答案,这个系列的还有其他学科的,站内直接搜合肥市就可以了,本次试卷是合肥市高中联考,也是合肥一模,质量还可