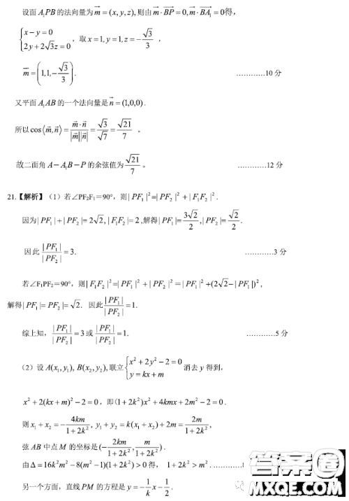
小编这次收集整理的是皖江名校联盟高三下学期开学摸底联考的数学试题答案,这个是高三的开学考试,适用于安徽地区的学校,想要来进行模拟练习的可以来看看哦,不要照抄,做完了再来核对!

答案如下,仅供参考!




















合肥市2023年高三第一次教学质量检测英语试卷答案
2023-02-12 15:52:00
小编这次收集整理的是合肥市2023年高三第一次教学质量检测的英语试卷答案,这个系列的还有其他学科的,站内也有整合,直接搜合肥市就可以搜到了,还是非常不错的,感兴趣的可以来看看
合肥市2023年高三第一次教学质量检测语文试题答案
2023-02-12 15:39:22
小编这次收集整理的是合肥市2023年高三第一次教学质量检测的语文试题答案,这个系列的还有其他学科的,站内直接搜合肥市就可以了,本次试卷是合肥市高中联考,也是合肥一模,质量还可
安徽省十联考2022-2023学年高二下学期开学摸底联考数学试题答案
2023-02-12 14:24:50
小编这次收集整理的是安徽省十联考2022-2023学年高二下学期开学摸底联考的数学试题答案,也就是淮北一中、太和一中、界首一中、利辛一中、霍邱一中、金寨一中、明光中学、衡
揭阳市2023年普通高中高三级教学质量测试数学试卷答案
2023-02-12 13:36:37
小编这次收集整理的是揭阳市2023年普通高中高三级教学质量测试的数学试卷答案,这个系列的还有其他学科的和其他地区的,这个是开学高三联考,也是为了测试学生在上学期的复习知识