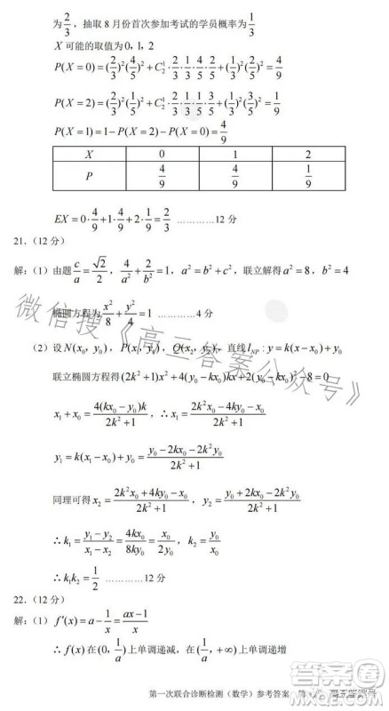
小编这次收集整理的是2023年重庆一诊高三第一次联合诊断检测的数学试卷答案,这个系列的还有其他学科的,站内直接搜重庆一诊就可以了,这份是高三第一次诊断,也是针对第一轮复习的一个检测,学生可以仔细做做看看自己掌握了多少知识点,对自己的学习进度有一个考究!

答案如下,仅供参考!









2023年重庆一诊高三第一次联合诊断检测语文试卷答案
2023-01-09 10:35:16
小编这次收集整理的是2023年重庆一诊高三第一次联合诊断检测的语文试卷答案,这个系列的是2023年普通高等学校招生全国统一考试高三第一次联合诊断测试,很多学校都在使用,其他地
2023届广东深圳高级中学集团高三上学期期末测试数学试题答案
2023-01-09 09:21:59
小编这次收集整理的是2023届广东深圳高级中学集团高三上学期期末测试的数学试题答案,这次的是高级中学的一次高三测试,元月份的考试,刚刚结束,还是可以来测试学习的,根据解析来评
福建宁德2022-2023学年高二上学期居家监测数学试题答案
2023-01-09 09:10:34
小编这次收集整理的是福建宁德2022-2023学年高二上学期居家监测的数学试题答案,这个是线上试卷,其他地区的学生也可以来模拟训练,自我评估,得分点分布和划分的也很详细,方便自我
2023年鼎尖教育高三一月联考语文试卷答案
2023-01-06 16:50:29
小编这次收集整理的是2023年鼎尖教育高三一月联考的语文试卷答案,高三的复习还是很重要的,要把握知识点,第一轮复习一般都是大致的铺垫一下基础,第二轮复习抓重点难点,第三轮查缺