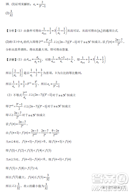
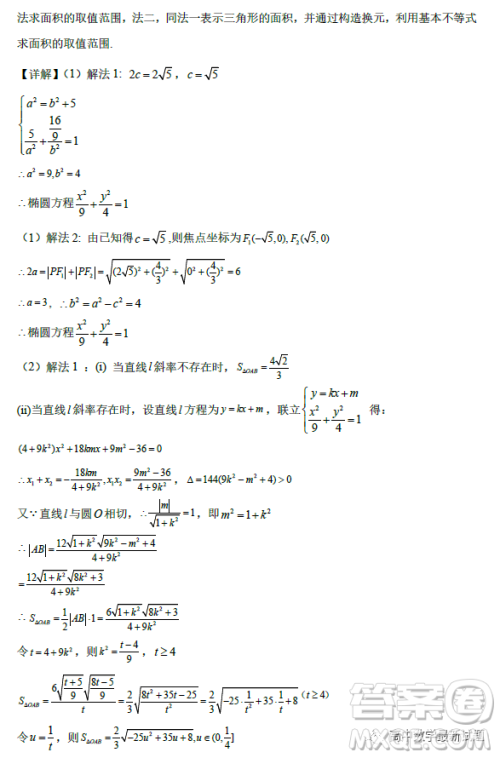
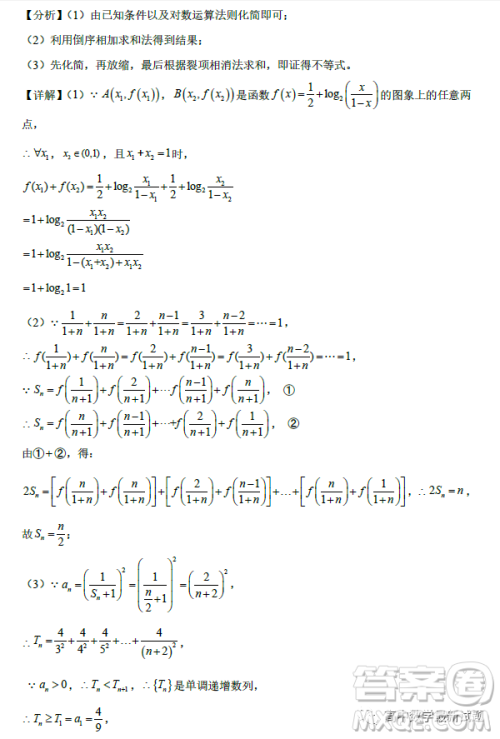
小编这次收集整理的是福建宁德2022-2023学年高二上学期居家监测的数学试题答案,这个是线上试卷,其他地区的学生也可以来模拟训练,自我评估,得分点分布和划分的也很详细,方便自我评分,了解一下自己的数学学习水平和能力,对于后续的复习也是有帮助的!

答案如下,仅供参考!






















2023年鼎尖教育高三一月联考语文试卷答案
2023-01-06 16:50:29
小编这次收集整理的是2023年鼎尖教育高三一月联考的语文试卷答案,高三的复习还是很重要的,要把握知识点,第一轮复习一般都是大致的铺垫一下基础,第二轮复习抓重点难点,第三轮查缺
江西省五市九校协作体2023届高三第一次联考历史试卷答案
2023-01-06 15:53:20
小编这次收集整理的是江西省五市九校协作体2023届高三第一次联考的历史试卷答案,江西省五个地级市九大高校联考,含金量还是很高的,其他学校想要来模拟考试的话,可以来看看,其他学
江西省五市九校协作体2023届高三第一次联考政治试卷答案
2023-01-06 15:37:38
小编这次收集整理的是江西省五市九校协作体2023届高三第一次联考的政治试卷答案,这个系列的还有其他学科的试卷,直接站内搜九校协作体就可以了,这个政治试卷是九江三中出题的,出
江西省五市九校协作体2023届高三第一次联考化学试卷答案
2023-01-06 15:08:24
小编这次收集整理的是江西省五市九校协作体2023届高三第一次联考的化学试卷答案,这个系列的还有其他学科的,站内直接搜九校协作体就可以搜到,做完了之后可以来看看自己做对了多