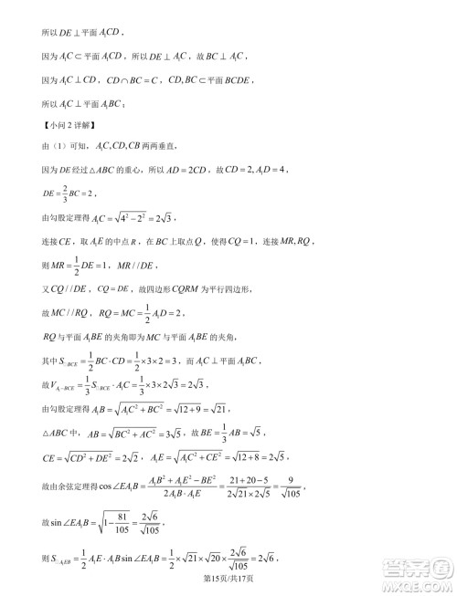
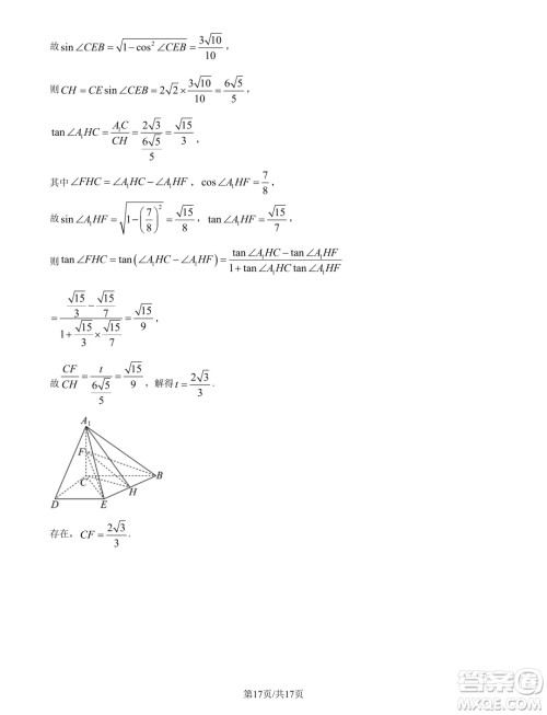
小编这次收集整理的是东北师范大学附属中学2024-2025学年高二上学期开学验收考试的数学试卷答案,本次考试时间90分钟,满分120分,这个适用于东北地区学子使用,想要练习的可以来做做看哦!

答案如下,仅供参考!

















湖南天壹名校联盟2025届高三入学考试数学试卷答案
2024-08-25 09:17:55
小编这次收集整理的是湖南天壹名校联盟2025届高三入学考试的数学试卷答案,这个试卷适用于湖南地区学子练习,想要练习的可以来做做看哦,检查一下自己做的对不对吧,这个系列的试卷
2025届浙江省A9协作体暑假返校联考高三语文试卷答案
2024-08-23 17:17:33
小编这次收集整理的是2025浙江省A9协作体暑假返校联考的高三语文试卷答案,命题学校宁海知恩中学,审题学校吴兴高级中学、回浦中学,想要练习的可以来做做看,其他学科的也会陆续收
湖北高中名校联盟2025届高三上学期8月联考数学试题答案
2024-08-22 18:12:10
湖北高中名校联盟2025届高三第一次联合测评数学试卷,考试时间2024年8月21日下午3点到5点,命题单位:宜昌市第一中学数学备课组,这个系列的试卷还有其他年级的整合,站内搜名校联盟
广东省部分学校2025届新高三上学期开学摸底联合教学质检数学试题答案
2024-08-21 11:18:03
小编这次收集整理的是广东省部分学校2025届新高三上学期开学摸底联合教学质检的数学试题答案,满分150分,考试用时120分钟,想要练习的可以来做做看哦,检查一下自己做的对不对吧!广