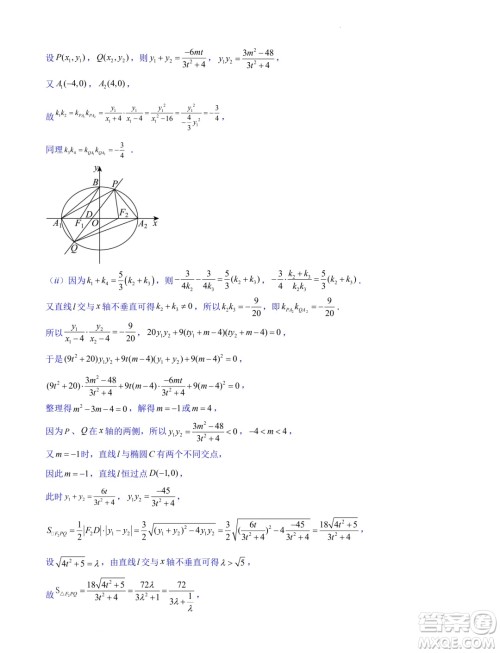
小编这次收集整理的是浙江省2024-2025学年高二上学期期中专题复习圆锥曲线解答题部分试卷练习,这次的是整合的浙江地区的试卷复习,主要是圆锥曲线部分,想要练习的可以来做做看哦!

答案如下,仅供参考!






















洛阳一高2024-2025学年高二上学期开学摸底考试数学试题答案
2024-08-13 11:34:33
小编这次收集整理的是洛阳一高2024-2025学年高二上学期开学摸底考试的数学试题答案,本次考试是洛阳一中的开学考试,也适用于河南其他地区的学子练习,感兴趣的可以来做做看哦 !洛
浙江温州十校联合体2024年高二下学期6月期末联考数学试题答案
2024-06-30 16:20:59
小编这次收集整理的是浙江温州十校联合体2024年高二下学期6月期末联考的数学试题答案,本卷共4页满分150分,考试时间120分钟,期末联考类型的试卷有整合其他地区的,特别是江苏的,想
2024年江西省高中数学联赛初赛试卷答案
2024-06-24 17:58:14
小编这次收集整理的是2024年江西省高中数学联赛初赛的试卷答案,考试时间6月23日上午9:30-12:00,这个也是昨天刚刚考完的,数学联赛考试的题目难度相对来说会高一些,想要练习的可
安徽皖中名校联盟2024年高二下学期第四次质检数学试卷答案
2024-06-23 12:04:27
小编这次收集整理的是安徽皖中名校联盟2024年高二下学期第四次质检的数学试卷答案,这次的是新结构,想要练习的可以来做做看哦,检查一下自己做的对不对吧!安徽皖中名校联盟2024年