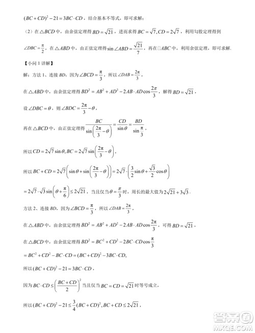
小编这次收集整理的是湖北鄂州二中2024-2025学年高二上学期7月月考的数学试卷答案,试卷满分150分,考试时长120分钟,这个系列的试卷还是非常不错的,感兴趣的可以来做做看哦!

答案如下,仅供参考!























河北金太阳联考2503B2024年高二下学期7月期末数学试题答案
2024-07-30 09:08:06
小编这次收集整理的是河北金太阳2024年高二下学期7月期末的数学试题答案,本试卷主要考试内容为集合与常用逻辑用语、不等式、函数与导数,想要练习的可以来做做看哦,检查一下自
广东省阳江市2023-2024学年高二下学期期末测试数学试题答案
2024-07-29 15:08:50
小编这次收集整理的是广东省阳江市2023-2024学年高二下学期期末测试的数学试题答案,这次的考试题型是新结构,想要练习的可以来做做看,检查一下自己做的对不对,还有哪些知识点没
湖北省沙市中学2023-2024学年高二下学期7月月考数学试题答案
2024-07-29 15:02:48
小编这次收集整理的是湖北省沙市中学2023-2024学年高二下学期7月月考的数学试题答案,考试时间是2024年7月26日,命题人镇祥平,审题人冷劲松,想要练习的可以来做做看,检查一下自己
福建省部分优质高中2025届高二上学期暑期优学模拟质检数学试题答案
2024-07-25 10:18:41
小编这次收集整理的是福建省部分优质高中2025届高二上学期暑期优学模拟质检的数学试题答案,考试时间120分钟,总分150分,这个系列的试卷还是非常不错的,想要练习的可以来做做看哦