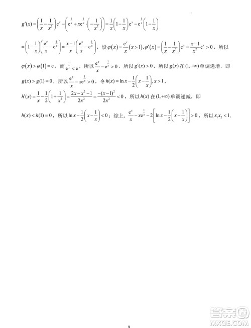
小编这次收集整理的是湖北省沙市中学2023-2024学年高二下学期7月月考的数学试题答案,考试时间是2024年7月26日,命题人镇祥平,审题人冷劲松,想要练习的可以来做做看,检查一下自己做的对不对吧!

答案如下,仅供参考!









福建省部分优质高中2025届高二上学期暑期优学模拟质检数学试题答案
2024-07-25 10:18:41
小编这次收集整理的是福建省部分优质高中2025届高二上学期暑期优学模拟质检的数学试题答案,考试时间120分钟,总分150分,这个系列的试卷还是非常不错的,想要练习的可以来做做看哦
福建三明2024年高二下学期期末质量检测数学试题答案
2024-07-23 17:14:41
小编这次收集整理的是福建三明2024年高二下学期期末质量检测的数学试题答案,满分150分,考试时间120分钟,想要练习的可以来做做看哦,这个系列的还是非常不错的,适用于高二年级的学
广州执信中学2024年高二下学期期末考试数学试卷答案
2024-07-22 14:23:14
小编这次收集整理的是广州执信中学2024年高二下学期期末考试的数学试卷答案,这次的考试还是非常不错的,想要练习的可以来做做看哦,适用于广州地区的学子练习,也适配广州地区的教
河南开封2024年高二下学期7月期末数学试题答案
2024-07-22 14:16:49
小编这次收集整理的是河南开封2024年高二下学期7月期末的数学试题答案,这个系列的还是非常不错的,感兴趣的可以来做做看哦,期末考试的试卷是针对这个学期的一个查缺补漏,模拟练