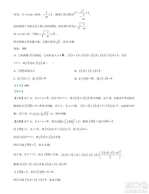
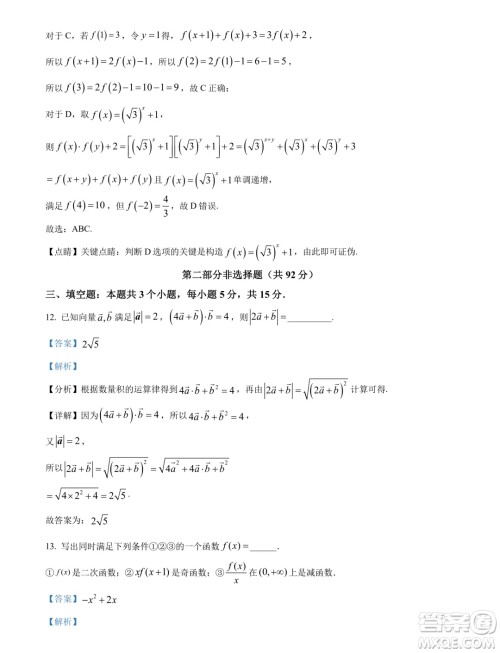
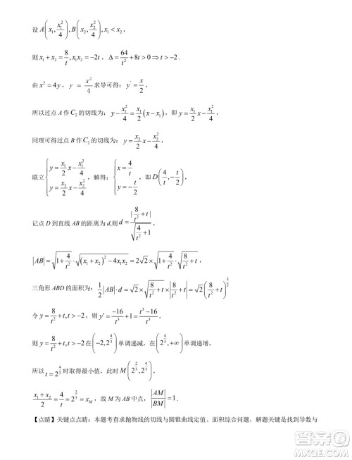
小编这次收集整理的是广州执信中学2024年高二下学期期末考试的数学试卷答案,这次的考试还是非常不错的,想要练习的可以来做做看哦,适用于广州地区的学子练习,也适配广州地区的教辅教材,整体是为了高二的学习和练习进度,多做模拟试卷对于巩固知识点还是很有帮助的!

答案如下,仅供参考!






















河南开封2024年高二下学期7月期末数学试题答案
2024-07-22 14:16:49
小编这次收集整理的是河南开封2024年高二下学期7月期末的数学试题答案,这个系列的还是非常不错的,感兴趣的可以来做做看哦,期末考试的试卷是针对这个学期的一个查缺补漏,模拟练
辽宁沈阳市郊联体2024年高二下学期期末考试数学试卷答案
2024-07-21 15:14:24
小编这次收集整理的是辽宁沈阳市郊联体2024年高二下学期期末考试的数学试卷答案,这次是沈阳市第八十三中学命题,沈阳市第五十六中学审题,想要练习的可以来做做看,检查一下自己还
河北名校联盟2024年高二下学期7月期末考试数学试题答案
2024-07-21 13:47:09
小编这次收集整理的是河北名校联盟2024年高二下学期7月期末考试的数学试题答案,本试卷主要考试内容为集合与常用逻辑用语、不等式、函数与导数,想要练习的可以来做做看哦,检查
辽宁省实验中学等校2024年高二下学期7月期末考试数学试题答案
2024-07-19 16:04:44
小编这次收集整理的是辽宁省实验中学等校2024年高二下学期7月期末考试的数学试题答案,命题学校辽宁省实验中学,想要练习一下的可以来做做看哦,这个系列的还是非常不错的,适用于